NOUVEAUX DERIVES DE LA DIHYDROXYBENZYLAMINE. LEUR
PREPARATION ET LES COMPOSITIONS PHARMACEUTIQUES
OUI LES CONTIENNENT
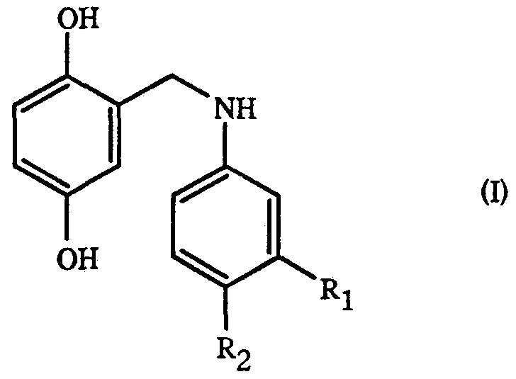
La présente invention concerne de nouveaux dérivés de la 2,5- dihydroxybenzylamine de formule générale :

leurs sels, leur préparation et les compositions pharmaceutiques qui les contiennent. Dans la formule générale (I), l'un des symboles Rj ou 2 représente un atome d'hydrogène ou d'halogène, tel qu'un atome de chlore, de brome ou de fluor, ou un radical hydroxy, alcoxy, alcoylcarbonyloxy, arylcarbonyloxy, mercapto, alcoylthio, amino, formylamino, alcoylcarbonylamino ou arylcarbonylamino et l'autre représente un radical alcoyle, alcoxy, alcoxyméthyle, alcoylthio, alcoylthio- méthyle, alcoylcarbonyle, arylcarbonyle, carboxy, alcoyloxycarbonyle, alcényloxy- carbonyle, aryloxycarbonyle, carbamoyle dont l'atome d'azote est éventuellement substitué par un ou deux radicaux, identiques ou différents, choisis parmi les radicaux alcoyles ou phényles, ou thiocarbamoyle dont l'atome d'azote est éventuellement substitué par un ou deux radicaux, identiques ou différents, choisis parmi les radicaux alcoyles ou phényles, étant entendu que les radicaux alcoyles et les portions alcoyles des autres radicaux contiennent 1 à 20 atomes de carbone et sont éventuellement substitués par un ou plusieurs radicaux, identiques ou différents, choisis parmi les radicaux hydroxy, alcoxy dont la partie alcoyle contient 1 à 4 atomes de carbone, alcoyloxycarbonyle dont la partie alcoyle contient 1 à 20 atomes de carbone, alcoyl- carbonyles dont la partie alcoyle contient 1 à 20 atomes de carbone, carbamoyle dont l'atome d'azote est éventuellement substitué par un ou deux radicaux, identiques ou différents, choisis parmi les radicaux alcoyles ou cycloalcoyles ou phényles, que les radicaux alcényles contiennent 2 à 20 atomes de carbone et sont éventuellement substitués par un ou plusieurs radicaux, identiques ou différents, choisis, parmi les radicaux hydroxy, alcoxy dont la partie alcoyle contient 1 à 4 atomes de carbone,
alcoyloxycarbonyles dont la partie alcoyle contient 1 à 4 atomes de carbone, cycloalcoyles ou phényles, que les radicaux aryles sont des radicaux phényles ou 1- ou 2-naphtyles, que les radicaux phényles ou 1- ou 2-naphtyles sont éventuellement substitués par un ou plusieurs atomes ou radicaux, identiques ou différents, choisis parmi les atomes d'halogène et les radicaux hydroxy, alcoyles contenant 1 à 4 atomes de carbone, alcoxy contenant 1 à 4 atomes de carbone, phényles ou trifluorométhyle, et que les radicaux cycloalcoyles sont mono- ou polycycliques et contiennent 3 à 10 atomes de carbone, et étant entendu que lorsque l'un des symboles Rj ou R2 représente un radical hydroxy, l'autre ne peut pas représenter un radical carboxy, et lorsque -i représente un atome d'hydrogène, R2 ne peut pas représenter un radical méthoxycarbonyle ou carbamoyle.
Le développement d'une tumeur résulte dans la rupture d'un équilibre subtil entre les signaux positifs et négatifs de croissance. L'acquisition du caractère malin dépend vraisemblablement de l'accumulation d'événements dont l'expression simultanée est synergique.
La moitié environ des protéines oncogènes qui ont jusqu'à présent été identifiées sont des protéines tyrosine kinases qui sont généralement surexprimées ou altérées dans leur structure. Les études réalisées jusqu'à présent permettent de suggérer que l'augmentation de l'activité tyrosine kinase est particulièrement importante pour l'apparition de la transformation cellulaire.
D.F. Stern et al., Mol. Cell. BioL, £, 3969-73 (1988) ont montré que la cancérisation des cellules par cette famille d'oncogènes conduit à un niveau très élevé de phosphotyrosine dans les protéines. Par ailleurs, Y. Yarden et A. Ullrich, Biochemistry, 27, 3113-3119 (1988) ont constaté que la perte ou la diminution de l'activité transformante d'un de ces oncogènes est associée avec la perte d'activité tyrosine kinase. Enfin J.A. Drebin et al., Cell., 41, 695-706 (1985) ont montré que des anticorps dirigés contre les domaines kinasiques, une fois injectés dans les cellules, provoquent une réversion du phénorype transformé.
Parmi ces oncogènes, CI. Bargmann et al., Cell., 45, 649-657 (1986) ont identifié HER2/neu/C-erb B2 lors de l'essai de transformation des cellules NIH 3T3 après transf ection d'ADN préparé à partir d'un neuroglioblastome de rat.
Il est connu que les carcinomes mammaires et ovariens représentent près du tiers des cancers chez la femme. Le récepteur HER2 est amplifié dans 25 à 30 % de ces cas et est corrêlé avec un très mauvais pronostic et de fortes probabilités de rechutes après résection ou traitement [D . Slamon et al., Science, 235. 177-182
(1987)]. Ces récepteurs fréquemment amplifiés se retrouvent également dans les adénocarcinomes gastriques et/ou du colon [S. Fukushige et al., Mol. Cell. Biol., Q, 955-958 (1986)]. L'ensemble de ces résultats tendent à confirmer que le récepteur à HER2 est impliqué dans la genèse de certains cancers. T. Onoda et coll., Journal of Natural Products, 52, 1252-1257 (1989) ont montré que la lavendustine A, isolée de la culture de Streptomyces griseolavendus, inhibe le récepteur du facteur de croissance épidermique (EGF) associé à la tyrosine kinase dans un système contenant une fraction membranaire A431 comme enzyme et un tridécapeptide comme substrat à des concentrations nettement supérieures à celles obtenues avec la génistéine ou l'erbstatine. Cependant, la lavendustine A ne manifeste pas son activité dans les tests de cultures cellulaires mesurant leur croissance.
Il a maintenant été trouvé, et c'est ce qui fait l'objet de la présente invention, que les produits de formule générale (I) manifestent une activité inhibitrice de tyrosine kinase in vitro et inhibent à des concentrations plus faibles que celles de la lavendustine A la prolifération cellulaire induite par les oncogènes codant pour des tyrosine kinases. Il en résulte que les produits de formule générale (I) qui présentent des propriétés anti-prolifératives et anti-oncotiques sont particulièrement utiles dans la thérapie tumorale en inhibant la croissance et la prolifération tumorales.
De plus, il a été montré récemment que le monoxyde d'azote (NO) est impliqué dans plusieurs processus biologiques incluant la neurotransmission dans le cerveau [Bredt and Snyder, Neuron., £, 3-111 (1992)]. L'oxyde nitrique est formé dans le cerveau par stimulation des sous-types NMDA (N-méthyl-D-aspartate) des récepteurs au glutamate [Nature, 336. 385-388 (1988)]. Cette surstimulation de ces récepteurs est associée à un certain nombre d'états maladifs tels que l'épilepsie, l'attaque d'apoplexie et des maladies netirodégénératives telles que la démence sénile, la maladie d'Alzheimer ou la maladie de Parkinson [Taylor, Science, 252. 1380-1381 (1991)].
Da son et al., Proc. Natl. Acad. Sci. USA, ≤S, 6368-71 (1991) ont montré que le monoxyde d'azote (NO) est un messager de la neurotoxicité induite par le glutamate et O'Dell et al., Nature, 353. 558-560 (1991) ont avancé que les enzymes qui génèrent l'oxyde nitrique sont activées par différentes kinases incluant les tyrosine kinases. Ainsi les inhibiteurs de tyrosine kinase peuvent inhiber la production d'oxyde nitrique et peuvent être utilisés dans le traitement d'états causés par une réactivité accrue des récepteurs au glutamate tels que l'épilepsie, l'attaque d'apoplexie ou la dégénérescence nerveuse.
Le monoxyde d'azote (NO) peut être également un régulateur négatif du récepteur NMD A. S'opposer à la production du monoxyde d'azote peut avoir un effet bénéfique sur les processus de mémorisation NMD A-dépendants.
Par ailleurs, la phosphorylation de la tyrosine est associée à l'effet cytopatho- gène du virus HIV (Science, 256. 542-545 (1992). Il en résulte que les produits de formule générale (I) peuvent avoir des propriétés protectrices contre la formation du virus HIV et le développement de la maladie.
Le rôle des protéines kinases dans des maladies hyperprolifératives telles que le psoriasis, dans lequel le récepteur à l'EGF est impliqué [R. Ross, New England J. Med., 314. 488-500 (1986)], l'athérosclérose, la rétinose et la myélofibrose dans lesquelles le récepteur au PDGF est impliqué [Barrandon et Green, Cell, 5J 1131- 1137 (1987)] fait que les produits selon l'invention pourront être utiles en ώniothérapie antiproliférative (Satoh et coll., J. Biol. Chem., 267.2537-2541).
Enfin, les produits selon l'invention peuvent agir en tant qu'inhibiteur de la cascade allergique du fait de l'inhibition de la signalisation cellulaire des basophiles et des macrophages.
Selon la présente invention, les nouveaux produits de formule générale (I) peuvent être obtenus par condensation d'un aldéhyde de formule :
sur une aminé de formule générale :
dans laquelle Rj et R sont définis comme précédemment, éventuellement sous forme de sel, pour obtenir une imine de formule générale :
dans laquelle Rj et R2 sont définis comme précédemment qui est réduite en produit de formule générale (I).
Généralement la condensation de l'aldéhyde de formule (II) sur l'aminé de formule générale (HT) est effectuée en opérant dans un solvant organique tel qu'un alcool, comme le méthanol, ou un amide, comme le diméthylformamide, ou un hydrocarbure aromatique, comme le toluène, éventuellement en présence d'un catalyseur tel que l'acide p.toluènesulfonique ou le trifluorure de bore en complexe éthéré ou en utilisant un piège Dean-Stark à une température comprise entre 0°C et la température de reflux du mélange réactionnel. Lorsque le produit de formule générale (ni) est utilisé sous forme de sel avec un acide tel que l'acide chlorhydrique, il est particulièrement avantageux d'opérer en présence d'une base telle qu'une aminé tertiaire comme la triéthylamine.
Généralement, la réduction de l'imine de formule générale (IV) en produit de formule générale (I) est effectuée au moyen d'hydrogène en opérant en présence d'un catalyseur d'hydrogénation. Comme catalyseurs peuvent être avantageusement utilisés le palladium sur charbon ou le nickel. Généralement la réduction est effectuée dans un solvant organique tel qu'un alcool comme le méthanol, un ester tel que l'acétate d'éthyle ou un hydrocarbure aliphatique halogène tel que le dichlorométhane à une température voisine de 20°C. La réduction peut éventuellement être effectuée sous pression. La réduction peut aussi être effectuée au moyen d'un borohydrure tel que le borohydrure de sodium ou de potassium ou le cyanoborohydrure de sodium ou de potassium.
Les produits de formule générale (I) dans laquelle l'un des symboles Rj ou R2 représente un atome d'hydrogène ou d'halogène ou un radical hydroxy, alcoxy, alcoylcarbonyloxy, arylcarbonyloxy, mercapto, alcoylthio, amino, formylamino, alcoylcarbonylamino ou arylcarbonylamino, et l'autre représente un radical alcoyl¬ oxycarbonyle, aryloxycarbonyle, acyle, arylcarbonyle, carbamoyle ou thiocarba- oyle éventuellement N-substitué comme indiqué précédemment peuvent également
être obtenus selon les méthodes habituelles de préparation des esters, des cétones, des amides ou thioamides à partir d'un produit de formule générale (I) dans laquelle l'un des symboles Rj et R2 représente un atome d'hydrogène ou d'halogène ou un radical hydroxy, alcoxy, alcoylcarbonyloxy, arylcarbonyloxy, mercapto, alcoylthio, amino, formylamino, alcoylcarbonylamino ou arylcarbonylamino et l'autre représente un radical carboxy.
Les produits de formule générale (I) peuvent être éventuellement transformés en sels d'addition avec les acides minéraux ou organiques.
Les produits de formule générale (m) sont généralement obtenus par réduction du dérivé nitré correspondant. Plus particulièrement, les produits de formule générale flπ) dans laquelle l'un des symboles j ou R2 représente un radical alcoxycarbonyle, carbamoyle ou thiocarbamoyle peuvent être obtenus selon les méthodes connues de préparation des esters, des amides ou des thioamides à partir de l'acide nitré correspondant suivie de la réduction du dérivé nitré ainsi obtenu. Les exemples suivants, donnés à titre non limitatif, montrent comment l'invention peut être mise en pratique.
Dans les exemples, les protons des spectres de résonance magnétique nucléaire sont numérotés selon les règles de la nomenclature.
EXEMPLE 1
On condense 476 mg de chlorhydrate de l'ester méthylique de l'acide
5-anώιosaIicylique (2,3 mmoles ; 1 équivalent) avec 317 mg de 2,5-dihydroxyben- zaldéhyde (2,3 mmoles ; 1 équivalent) en opérant dans le méthanol en présence de triéthylamine (1 équivalent). Le mélange réactionnel est agité pendant 15 heures à 60°C. Après refroidissement, le précipité est séparé par filtration, lavé par du métha- nol puis séché. On obtient ainsi, avec un rendement de 82 , 539 mg de l'ester méthylique de l'acide 5-(2,5-d ydroxybenzyKdèneamino)salicylique dont les carac¬ téristiques sont les suivantes : - point de fusion : 223-224°C - spectre de résonance magnétique nucléaire du proton (diméthylsulf oxyde déplacements chimiques en ppm ; constantes de couplage J enHz) : 12,15 (s, IH
OH) ; 10,49 (s, IH: OH) ; 9,05 (s, IH: OH) ; 8,8 (s, IH: CH=N) ; 7,75 (d, J = 3, IH
H6) ; 7,6 (dd, J = 3 et 8,5, IH: H4) ; 7,02 (d, J = 8,5, IH: H3) ; 6,99 (d, J = 3, IH H6') ; 6,8 (dd, J = 3 et 8,5, IH: H4') ; 6,72 (d, J = 8,5, IH: H3') ; 3,9 (s, 3H: CH3).
On agite une solution de l'ester méthylique de l'acide 5-(2,5-dihydroxy benzylidèneamino)salicylique dans le méthanol avec du palladium sur charbon à
10 % de palladium (p/p) sous une pression d'hydrogène de 1 atmosphère pendant plusieurs heures jusqu'à ce que la réaction soit complète. Après filtration et lavage avec du méthanol, le filtrat est concentré à sec sous pression réduite.
On obtient ainsi, avec un rendement de 77 %, l'ester méthylique de l'acide 5-(2,5-dihydroxybenzylaπ- o)salicylique dont les caractéristiques sont les suivantes :
- point de fusion = 193-194°C
- spectre de résonance magnétique nucléaire du proton (diméthylsulf oxyde ; déplacements chimiques en ppm ; constantes de couplage J en Hz) : 9,75 (s, IH:
OH) ; 8,7 (s, IH: OH) ; 8,5 (s, IH: OH) ; 6,9 (d, J = 3, IH: H6) ; 6,85 (dd, J = 3 et
8,5, IH: H4) ; 6,7 (d, J = 8,5, IH: H3) ; 6,6 (d, J = 3, IH: H6') ; 6,55 (dd, J = 3 et 8,5, IH: H4') ; 6,38 (d, J = 8,5, IH: H3') ; 5,75 (s, IH: NH) ; 4,05 (s, 2H: CH2) ; 3,82 (s,
3H: CH3).
EXEMPLE 2
On condense 500 mg de chlorhydrate de l'ester éthylique de l'acide 5-amino- salicylique (2,3 mmoles ; 1 équivalent) avec 317 mg de 2,5-dihydroxybenzaldéhyde (2,3 mmoles ; 1 équivalent) en opérant dans le méthanol en présence de triéthylamine (1 équivalent). Le mélange réactionnel est agité pendant 15 heures à 60°C. Après traitement comme dans l'exemple 1, on obtient, avec un rendement de 65 %, 447 mg d'ester éthylique de l'acide 5-(2,5-d ydroxybenzylidèneamino)salicylique dont les caractéristiques sont les suivantes :
- point de fusion : 185-186°C
- spectre de résonance magnétique nucléaire du proton (diméthylsulfoxyde ; déplacements chimiques en ppm ; constantes de couplage J en Hz) : 12,1 (s, IH,
OH) ; 10,52 (s, IH: OH) ; 9,05 (s, IH: OH) ; 8,8 (s, IH: CH=N) ; 7,7 (d, J = 3, IH:
H6) ; 7,6 (dd, J = 3 et 8,5, IH: H4) ; 7,02 (d, J = 8,5, IH: H3) ; 6,99 (d, 5 = 3, IH:
H6') ; 6,8 (dd, J = 3 et 8,5, IH: H4') ; 6,72 (d, J = 8,5, IH: H3') ; 4,35 (q, J = 8, 2H: CH2) ; 1,32 (t, J = 8, 3H: CH3). L'ester éthylique de l'acide 5-(2,5-dihydroxybenzylidèneamino)salicylique est réduit par l'hydrogène en présence de palladium sur charbon à 10 % de palladium (p/p) dans les conditions décrites dans l'exemple 1.
On obtient ainsi, avec un rendement de 62%, l'ester éthylique de l'acide 5- (2,5-dihydroxybenzylamino)salicylique dont les caractéristiques sont les suivantes :
- point de fusion : 176-177°C
- spectre de résonance magnétique nucléaire du proton (diméthylsulfoxyde déplacements chimiques en ppm ; constantes de couplage J en Hz) : 9,8 (s, IH: OH) 8,7 (s, IH: OH) ; 8,5 (s, IH: OH) ; 6,92 (d, J = 3, IH: H6) ; 6,8 (dd, J = 3 et 8,5, IH H4) ; 6,7 (d, J = 8,5, IH: H3) ; 6,6 (d, J = 3, IH: H6') ; 6,55 (d, J= 8,5, IH: H3') 6,39 (dd, J = 3 et 8,5, IH: H4') ; 5,75 (t, J = 6, IH: NH) ;4,3 (q, J = 8,5, 2H: CR^ 4,0 (d, J = 6, 2H: CH2N) ; 1,32 (t, J = 8,5, 3H: CH3).
EXEMPLE 3
On condense 300 mg de chlorhydrate de l'ester tbutylique de l'acide 5-ami- nosalicylique (1,44 mmole ; 1 équivalent) avec 200 mg de 2,5-dihydroxybenzaldé- hyde (1,45 mmole ; 1 équivalent) en opérant dans le méthanol en présence de triéthylamine (1 équivalent). Le mélange réactionnel est agité pendant 15 heures à 60°C. Après traitement comme dans l'exemple 1 et purification par flash chromato- graphie sur gel de silice en éluant avec du dichlorométhane, on obtient, avec un ren- dément de 95 %, 450 mg de l'ester tbutylique de l'acide 5-(2,5-dihydroxybenzylidè- neamino)salicylique dont les caractéristiques, après recristallisation dans un mélange acétate d'éthyle-hexane, sont les suivantes :
- point de fusion : 169°C
- spectre de résonance magnétique nucléaire du proton (diméthylsulfoxyde ; déplacements en ppm ; constantes de couplage J en Hz) : 12,1 (s, IH: OH) ; 10,55 (s large, IH: OH) ; 9,02 (s large, IH: OH) ; 8,8 (s, IH: CH=N) ; 7,65 (d, J = 3, IH: H6);
7.6 (dd, J = 3 et 8,5, IH: H4) ; 7,02 (d, J = 8,5, IH: H3) ; 6,9 (s, IH: H6') ; 6,8 (dd, J = 3 et 8,5, IH: H4") ; 6,73 (d, J ≈ 8,5, IH: H3') ; 1,58 (s, 9H: C(CH3)3).
L'ester tbutylique de l'acide 5-(2,5-d ydroxybenzylidèneamino)salicylique est réduit par l'hydrogène en présence de nickel dans les conditions décrites dans l'exemple 1. Après purification par flash chromatographie sur gel de silice en éluant avec du dichlorométhane on obtient, avec un rendement de 52 %, l'ester tbutylique de l'acide 5-(2,5-dihydroxybenzylamino)salicylique.dont les caractéristiques sont les suivantes : - point de fusion : 115-116°C
- spectre de résonance magnétique nucléaire du proton (diméthylsulfoxyde ; déplacements chimiques en ppm ; constantes de couplage J en Hz) : 9,9 (s, IH: OH) ;
8.7 (s, IH: OH) ; 8,5 (s, IH: OH) ; 6,89 (d, J = 3, IH: H6) ; 6,78 (dd, J = 3 et 8,5, IH: H4) ; 6,66 (d, J = 8,5, IH: H3) ; 6,58 (d, J = 3, IH: H6') ; 6,55 (d, J = 8,5, IH:
H3') ; 6,38 (dd, J = 3 et 8,5, IH: H4') ; 5,7 (s, IH: NH) ; 4,0 (s, 2H: CH2) ; 1,5 (s, 9H: C(CH3)3).
EXEMPLE 4
On condense 500 mg de chlorhydrate de l'ester 3,3-diméthylbutylique de l'acide 5-aminosalicylique (1,86 mmole ; 1 équivalent) avec 258 mg de 2,5-dihydro- xybenzaldéhyde (1,87 mmole ; 1 équivalent) en opérant dans le méthanol en présence de triéthylamine (1 équivalent). Le mélange réactionnel est agité pendant 15 heures à 60°C. Après traitement comme dans l'exemple 1 et recristallisation dans le méthanol, on obtient, avec un rendement de 65 %, 670 mg d'ester 3,3-diméthylbutylique de l'acide 5-(2,5-dihydroxybenzylidèneamino)salicylique dont les caractéristiques sont les suivantes :
- point de fusion : 160-161°C
- spectre de résonance magnétique nucléaire du proton ( diméthylsulfoxyde ; déplacements chimiques en ppm ; constantes de couplage J en Hz) : 12,1 (s, IH: OH) ; 10,5 (s large, IH: OH) ; 9,1 (s large, IH: OH) ; 8,78 (s, IH: CH=N) ; 7,7 (d, J = 3,
IH: H6) ; 7,6 (dd, J = 3 et 8,5, IH: H4) ; 7,02 (d, J = 8,5, IH: H3) ; 6,9 (d, J = 3, IH:
H6') ; 6,81 (dd, J = 3 et 8,5, IH: H4') ; 6,72 (d, J = 8,5, IH: H3') ; 4,35 (t, J = 8, 2H: COOCH2) ; 1,65 (t, J = 8, 2H: CH2) ; 0,95 (s, 9H: C(CH3)3).
L'ester 3,3-diméthylbutylique de l'acide 5-(2,5-dihydroxybenzylidèneamino) salicylique est réduit par l'hydrogène en présence de nickel dans les conditions décrites dans l'exemple 1. Après traitement comme dans l'exemple 1 et purification par flash chromatographie sur gel de silice en éluant avec du dichlorométhane, on obtient, avec un rendement de 91 %, l'ester 3,3-diméthylbutylique de l'acide 5- (2,5- dihydroxybenzylamino)salicylique dont les caractéristiques sont les suivantes : - point de fusion : 127-128°C
- spectre de résonance magnétique nucléaire du proton (diméthylsulfoxyde ; déplacements chimiques en ppm ; constantes de couplage J en Hz) : 9,8 (s, IH: OH) ; 8,68 (s, IH: OH) ; 8,45 (s, IH: OH) ; 6,88 (d, J = 3, IH: H6) ; 6,82 (dd, J = 3 et 8,5, IH: H4) ; 6,7 (d, J = 8,5, IH: H3) ; 6,57 (d, J = 3, IH: H6') ; 6,55 (d, J = 8,5, IH: H3') ; 6,38 (dd, J = 3 et 8,5, IH: H4') ; 5,7 (s, IH: NH) ; 4,3 (t, J = 8, 2H: CO2CH2) ;4,0 (s, 2H: CH2N) ; 1,6 (t, J = 8, 2H: CH2) ; 0,9 (s, 9H: C(CH3)3).
EXEMPLE 5
On condense 460 mg de chlorhydrate de l'ester 2,4,4-triméthylpentylique de l'acide 5-aminosalicylique (1,74 mmole ; 1 équivalent) avec 240 mg de 2,5-dihydroxy benzaldéhyde (1,74 mmole ; 1 équivalent) en opérant dans le méthanol en présence de triéthylamine (1 équivalent). Le mélange réactionnel est agité pendant 15 heures à
60°C. Après traitement comme dans l'exemple 1 et purification par flash chromatographie sur gel de silice en éluant avec du dichlorométhane, on obtient, avec un rendement de 76 %, 505 mg d'ester 2,4,4-triméthylpentylique de l'acide 5-(2,5- d ydroxybenzyHdèneammo)salicylique dont les caractéristiques sont les suivantes : - point de fusion : 91-92°C
- spectre de résonance magnétique nucléaire du proton (diméthylsulfoxyde ; déplacements chimiques en ppm ; constantes de couplage J en Hz) : 12,1 (s, IH:
OH) ; 9,1 (s, IH: OH) ; 8,78 (s, IH: CH=N) ; 7,69 (d, J = 3, IH: H6) ; 7,6 (dd, J = 3 et 8,5, IH: H4) ; 7,0 (d, J = 8,5, IH: H3) ; 6,98 (d, J = 3, IH: H6') ; 6,79 (dd, J = 3 et 8,5, IH: H4') ; 6,72 (d, J = 8,5, IH: H3') ; 4,1-3,9 (m, 2H: COOCH2) ; 1,95 (m, IH:
CH) ; 1,4-1 (m, 2H: CH2-tBu) ; 0,98 (d, J = 7, 3H: CH3) ; 0,88 (s, 9H: C(CH3)3).
L'ester 2,4,4-triméthylpentylique de l'acide 5-(2,5-dihyclroxybenzylidène amino)salicylique est réduit par l'hydrogène en présence de nickel dans les conditions décrites dans l'exemple 1. Après traitement comme dans l'exemple 1 et purification par flash chromatographie sur gel de silice en éluant avec un mélange dichloro- méthane-méthanol (9-1 en volumes), on obtient, avec un rendement de 83 %, l'ester 2,4,4-triméthylpentyIique de l'acide 5-(2,5-dmydroxybenzylamino)salicylique dont les caractéristiques sont les suivantes : - point de fusion : 119-120°C - spectre de résonance magnétique nucléaire du proton (diméthylsulfoxyde ; déplacements chimiques en ppm ; constantes de couplage J en Hz) : 9,8 (s, IH: OH) ;
8,67 (s, IH: OH) ; 8,45 (s, IH: OH) ; 6,89 (d, J = 3, IH: H6) ; 6,85 (dd, J = 3 et 8,5,
IH: H4) ; 6,7 (d, J = 8,5, IH: H3) ; 6,55 (d, J = 3, IH: H6') ; 6,53 (d, J = 8,5, IH: H3') ; 6,38 (dd, J = 3 et 8,5, IH: H4') ; 5,75 (s, IH: NH) ; 4,0 (m, 4H: COOCH2 et CH2N) ; 1,88 (m, IH: CH) ; 0,92 (d, J = 8, 3H: CH3) ; 0,85 (s, 9H, C(CH3)3).
EXEMPLE 6
On condense 400 mg de chlorhydrate de l'ester 3,7-diméthyloctyIique de l'acide 5-aminosalicylique (1,37 mmole ; 1 équivalent) avec 189 mg de
2,5-dihydroxybenzaldéhyde (1,37 mmole ; 1 équivalent) en opérant dans le méthanol en présence de triéthylamine (1 équivalent). Le mélange réactionnel est agité pendant 15 heures à 60°C. Après traitement comme dans l'exemple 1 et recristallisation dans le mélange acétate d'éthyle/hexane (50/50), on obtient, avec un rendement de 89 %, 495 mg d'ester 3,7-diméthyloctylique de l'acide 5-(2,5-dihydroxybenzylidèneamino) salicyclique dont les caractéristiques sont les suivantes :
- point de fusion : 120-121°C
- spectre de résonance magnétique nucléaire du proton (diméthylsulfoxyde ; déplacements chimiques en ppm ; constantes de couplage J en Hz) : 12,05 (s, IH: OH) ; 10,5 (s large, IH: OH) ; 9,1 (s large, IH: OH) ; 8,8 (s, IH: CH≈N) ; 7,68 (d, J = 3, IH: H6) ; 7,6 (dd, J = 3 et 8,5 IH: H4) ; 7,02 (d, J = 8,5, IH: H3) ; 7,0 (d, J = 3, IH: H6') ; 6,8 (dd, J = 3 et 8,5, IH: H4') ; 6,75 (d, J = 8,5, IH: H3') ; 4,35 (t, J = 8, 2H: OCH2) ; 1,75 (m, IH: CH(CH3)) ; 1,55-1,45 (m, 3H: O-CH2-CIÏ2- Cϋ(CH3)2) ; 1,35-1,1 (m, 6H: CH2CH2CH2) ; 0,9 (d, J = 8, 3H: CH3CH) ; 0,8 (d, J = 8, 6H: (CH3)2CH).
L'ester 3,7-diméthyloctylique de l'acide 5-(2,5-d ydroxybenzyUdèneamino) salicylique (150 mg, 0,36 mmole) est réduit par l'hydrogène en présence de nickel dans les conditions décrites dans l'exemple 1. Après traitement comme dans l'exemple 1 et purification par flash chromatographie sur gel de silice en éluant avec le dichlorométhane, on obtient avec un rendement de 86 %, l'ester 3,7-diméthyl- octylique de l'acide 5-(2,5-dihydroxybenzylamino)salicylique dont les caractéris¬ tiques sont les suivantes :
- point de fusion : 97-98°C
- spectre de résonance magnétique nucléaire du proton (diméthylsulfoxyde ; déplacements chimiques en ppm ; constantes de couplage J en Hz) : 9,78 (s large, IH:
OH) ; 8,65 (s large, IH: OH) ; 8,5 (s large, IH: OH) ; 6,9 (d, J = 3, IH: H6) ; 6,8 (dd,
J = 3 et 8,5, IH: H4) ; 6,7 (d, J = 8,5, IH: H3) ; 6,58 (d, J = 3, IH: H6') ; 6,55 (d, J =
8,5, IH: H3') ; 6,38 (dd, J = 3 et 8,5, IH: H4') ; 5,75 (t, J = 6, IH: NH) ; 4,28 (t, 2H, CO2CH2) ; 4,02 (d, J = 6, 2H: NCH2) ; 1,68 (m, IH: CH(CH3)) ; 1,5-1,45 (m, 3H: CÏÏ2CH2O, CH(CH3)2) ; 1,3-1,1 (m, 6H: CH2CH2CH2) ; 0,88 (d, J = 8, 3H: CH3-
CH) ; 0,8 (d, J = 8, 6H: (CH3)2-CH).
EXEMPLE 7
On condense 400 mg de l'ester 2-phényléthylique de l'acide 5-aminosalicy- lique (1,56 mmole ; 1 équivalent) avec 215 mg de 2,5-dihydroxybenzaldéhyde
(1,56 mmole ; 1 équivalent) en opérant dans le méthanol. Le mélange rêactionnel est agité pendant 15 heures à 60°C. Après traitement comme dans l'exemple 1, on obtient avec un rendement de 91 %, 532 mg d'ester 2-phényléthylique de l'acide 5-(2,5- dihydroxybenzylidèneamino)salictylique dont les caractéristiques sont les suivantes : - point de fusion : 170-171°C
- spectre de résonance magnétique nucléaire du proton (dimétiiylsulfoxyde ; déplacements chimiques en ppm ; constantes de couplage J en Hz) : 12,1 (s, IH:
OH) ; 10,3 (s très large, IH: OH) ; 9,1 (s, IH: OH) ; 8,78 (s, IH: CH=N) ; 7,62 (d, J = 3, IH: H6) ; 7,6 (dd, J = 3 et 8,5, IH: H4) ; 7,3 (m, 5H: C6H5) ; 7,02 (d, J = 8,5, IH: H3) ; 7,0 (d, J = 3, IH: H6') ; 6,82 (dd, J = 3 et 8,5, IH: H4') ; 6,73 (d, J = 8,5, IH: H3') ; 4,5 (t, J = 8, 2H: CO2CH2) ; 3,05 (t, J = 8, 2H: CH.2-C6H5).
L'ester 2-phényléthylique de l'acide 5-(2,5-dihydro-tyberιzylidèneamino) salicylique est réduit par l'hydrogène en présence de nickel dans les conditions décrites à l'exemple 1. Après traitement comme dans l'exemple 1 et purification par flash chromatographie sur gel de silice en éluant avec un mélange dichloromé- thane/méthanol (9/1), on obtient avec un rendement de 91 % l'ester 2-phényléthylique de l'acide 5-(2,5-dihydroxybenzylam o)salicylique dont les caractéristiques sont les suivantes :
- point de fusion : 156-157°C - spectre de résonance magnétique nucléaire du proton (diméthylsulfoxyde ; déplacements chimiques en ppm ; constantes de couplage J en Hz) : 9,7 (s, IH: OH) ; 8,7 (s, IH: OH) ; 8,5 (s, IH: OH) _ 7,22 (m, 5H: C6H5) ; 6,85 (d, J = 3, IH: H6) ; 6,8
(dd, J = 3 et 8,5, IH: H4) ; 6,68 (d, J = 8,5, IH: H3) ; 6,6 (d, J = 3, IH: H6') ; 6,58 (d,
J = 8,5, IH: H3') ; 6,4 (dd, J = 3 et 8,5, IH: H4') ; 5,72 (t, J = 6, IH: NH) ; 4,4 (t, J= 6, 2H: CO2CH2) ; 4,0 (d, J = 8, 2H: CH2N) ; 2,95 (t, J = 8, 2H: CH.2-C6H5).
EXEMPLE 8
On condense 250 mg de N-benzyl-(5-aminosalicylamide) (1,03 mmole ; 1 équivalent) avec 142 mg de 2,5-dihydrobenzaldéhyde (1,03 mmole ; 1 équivalent) en opérant dans le méthanol. Le mélange rêactionnel est agité pendant 15 heures à 60°C. Après traitement comme dans l'exemple 1, on obtient, avec un rendement de 85 %, 317 mg de N-ben2yI-5-(2,5-dihydroxybenzyUdèneamino)saliσ^lamide dont les carac¬ téristiques sont les suivantes :
- point de fusion : 200-201°C
- spectre de résonance magnétique nucléaire du proton (diméthylsulfoxyde déplacements chimiques en ppm ; constantes de couplage J en Hz) : 12,3 (s, IH
OH) ; 9,5 (t, IH: NH) ; 9,0 (s, IH: OH) ; 8,8 (s, IH: CH≈N) ; 7,98 (d, J = 3, IH H6) ; 7,55 (dd, J = 3 et 8,5, IH: H4) ; 7,3 (m, 5H: C6H5) ; 6,98 (d, J = 8,5, IH: H3) 6,95 (d, J = 3, IH: H6') ; 6,8 (dd, J ≈ 3 et 8,5, IH: H4') ; 6,75 (d, J = 8,5, IH: H3') 4,5 (d,J = 8, 2H: CH2).
Le N-benzyl-5-(2,5-dihydroxybenzylidèneamino) salicylamide est réduit par l'hydrogène en présence de nickel dans les conditions décrites dans l'exemple 1. Après purification par flash chromatographie sur gel de silice en éluant avec le mélange dichlorométhane-méthanol (9/1), on obtient, avec un rendement de 80 %, le N-benzyl-5-(2,5-dihydroxybenzylamino) salicylamide dont les caractéristiques sont les suivantes :
- point de fusion : 194-195°C
- spectre de résonance magnétique nucléaire du proton (diméthylsulfoxyde déplacements chimiques en ppm ; constantes de couplage J en Hz) : 11,48 (s, IH OH) ; 9,15 (t, IH: CONH) ; 8,7 (s, IH: OH) ; 8,5 (s, IH: OH) ; 7,28 (m, 5H: C6H5)
7,08 (d, J = 3, IH: H6) ; 6,7 (dd, J = 3 et 8,5, IH: H4) ; 6,65 (d, J = 8,5, IH: H3) ; 6,6
(d, J = 3, IH: H6') ; 6,55 (d, J = 8,5, IH: H3') ; 6,4 (dd, J = 3 et 8,5, IH: H4') ; 5,38 (t, IH: NH) ; 4,5 (d, J = 8, 2H: N-CH2) ; 4,05 (d, J = 8, 2H: CH2-C6H5).
EXEMPLE 9
On condense 174 mg de N-2,4,4-triméthylpentyl-(5-aminosalicylamide) (0,66 mmole ; 1 équivalent) avec 92 mg de 2,5-dihydroxybenzaldéhyde (0,66 mmole ; 1 équivalent) en opérant dans le méthanol. Le mélange rêactionnel est agité pendant 8 heures à 60°C. Après traitement comme dans l'exemple 1, on obtient après élution sur flash chromatographie (gel de silice) avec le dichlorométhane, avec un rendement de 86 %, 218 mg de N-2,4,4-triméthylpentyl-5-(2,5-dihydroxybenzylidè- neamino)salicylamide dont les caractéristiques sont les suivantes :
- point de fusion : 202-203,5°C
- spectre de résonance magnétique nucléaire du proton (diméthylsulfoxyde ; déplacements chimiques en ppm ; constantes de couplage J en Hz) : 12,7 (s large, IH: OH) ; 12,35 (s, IH: OH) ; 9,0 (m, 2H: NH et OH) ; 8,9 (s, IH: CH≈N) ; 7,9 (d, J = 3, IH: H6) ; 7,5 (dd, J = 3 et 8,5, IH: H4) ; 6,98 (d, J = 3, IH: H6') ; 6,95 (d, J = 8,5, IH: H3) ; 6,8 (dd, J = 3 et 8,5, IH: H4') ; 6,75 (d, J = 8,5, IH: H3') ; 3,12-3,02 (m,
2H: NCH2) ; 1,8 (m, IH: CH(CH3)) ; 1,28 (dd, J = 3 et 12, IH: CH2t.Bu) ; 1,0 (dd, J = 6 et 12, IH: CH2t.Bu) ; 0,9 (d, J = 9, 3H: QEfe-CH) ; 0,85 (s, 9H: (CH3)3).
Le N-2,4,4-triméthylpentyl-5-(2,5-dihydro est réduit par l'hydrogène en présence de nickel dans les conditions décrites dans l'exemple 1. Après purification par flash chromatographie sur gel de silice en éluant avec le dichlorométhane, on obtient, avec un rendement de 90 %, le N-2,4,4- triméthylpentyl-5-(2,5-dihydro-tybenzyIamino) salicylamide dont les caractéristiques sont les suivantes :
- point de fusion : 110-112°C - spectre de résonance magnétique nucléaire du proton (diméthylsulfoxyde ; déplacements chimiques en ppm ; constantes de couplage J en Hz) ; 11,4 (s large, IH:
OH) ; 8,7 (s, IH: OH) ; 8,65 (t, IH: CONH) ; 8,5 (s, IH: OH) ; 7,0 (d, J = 3, IH
H6) ; 6,7 (dd, J = 3 et 8,5, IH: H4) ; 6,62 (d, J = 8,5, IH: H3) ; 6,6 (d, J = 3, IH:
H6') ; 6,58 (d, J = 8,5, IH: H3') ; 6,4 (dd, J = 3 et 8,5, IH: H4') ; 5,32 (t, IH: NH-CH2) ; 4,02 (d, J = 5, 2H: CH2N) ; 3,1 et 3 (m, 2H: CH2-NHCO) ; 1,75 (m, IH
CH) ; 1,25 (m, IH: CH tBu ; 1,0 (m, IH: CH2t.Bu) ; 0,9 (d, J = 8, 3H: CH3-CH) ;
0,85 (s, 9H: (CH3)3).
EXEMPLE 10
On condense 250 mg de N-l,l,3,3-tétramémylbutyl-(5-aminosalicylamide) (0,95 mmole ; 1 équivalent) avec 120 mg de 2,5-dihydroxybenzaldéhyde (0,66 mmole ; 1 équivalent) en opérant dans le méthanol. Le mélange rêactionnel est agité pendant 8 heures à 60°C. Après traitement comme dans l'exemple 1, on obtient après purification par flash chromatographie sur gel de silice en éluant au dichlorométhane, avec un rendement de 82%, 297 mg de N-l,l,3,3-tétraméthylbutyl-5-(2,5- dihydroxybenzylidèneamino)salicyIamide dont les caractéristiques sont les suivantes :
- point de fusion : 204-205°C
- spectre de résonance magnétique nucléaire du proton (diméthylsulfoxyde ; déplacements chimiques en ppm ; constantes de couplage J en Hz) : 12,35 (s, IH:
OH) ; 9,0 (t, IH: NHCO) ; 8,8 (s, IH: CH≈N) ; 8,2 (s, IH: OH) ; 7,9 (d, J = 3, IH: H6) ; 7,45 (dd, J = 3 et 8,5, IH: H4) ; 6,95 (d, J = 3, IH: H6') ; 6,9 (d, J = 8,5, IH: H3) ; 6,78 (dd, J = 3 et 8,5, IH: H4') ; 6,7 (d, J = 8,5, IH: H3') ; 1,8 (s, 2H: CH2) ;
1,45 (s, 6H: (CH3)2) ; 0,95 (s, 9H: (CH3)3).
L N-l,l,3,3-tétramêmylbutyl-5-(2,5-dihydroxybenzytidèneamino)salicyl- amide est réduit par l'hydrogène en présence de nickel dans les conditions décrites
dans l'exemple 1. Après purification par flash chromatographie sur gel de silice en éluant avec le dichlorométhane, on obtient, avec un rendement de 83 %, le N-1,1,3,3- tétraméthylbutyl 5- (2,5-dihydroxybenzylamino) salicylamide dont les caractéris¬ tiques sont les suivantes : - point de fusion : 139-140°C
- spectre de résonance magnétique nucléaire du proton (diméthylsulfoxyde ; déplacements chimiques en ppm ; constantes de couplage J en Hz) : 10,75 (s, IH: OH) ; 8,7 (s, IH: CONH) ; 8,5 (s, IH: OH) ; 8,0 (s, IH: OH) ; 7,0 (s, IH: H6) ; 6,6
(m, 4H: H4, H3, H6', H3') ; 6,38 (dd, J = 3 et 8,5, IH: H4') ; 5,4 (t, IH: NH) ; 4,05 (d, 2H: CH2N) ; 1,28 (s, 2H: CH2) ; 1,4 (s, 6H: (CH3)2) ; 0,9 (s, 9H: (CH3)3).
EXEMPLE 11
On condense 504 mg de l'ester méthylique de l'acide 2-méthoxy-5 amino- benzoïque (2,78 mmoles ; 1 équivalent) avec 385 mg de 2,5-dihydroxybenzaldéhyde (2,78 mmoles ; 1 équivalent) en opérant dans le méthanol. Le mélange est agité pen- dant 8 heures à 60°C. Après traitement comme dans l'exemple 1, on obtient, avec un rendement de 71 %, 549 mg de l'ester méthylique de l'acide 2-méthoxy-5-(2,5-dihy- droxybenzylidèneamino)benzoïque dont les caractéristiques sont les suivantes : - point de fusion : 206-207°C - spectre de résonance magnétique nucléaire du proton (diméthylsulfoxyde ; déplacements chimiques en ppm ; constantes de couplage J en Hz) : 12,15 (s, IH:
OH) ; 9,05 (s, IH: OH) ; 8,8 (s, IH: CH≈N) ; 7,65 (d, J = 3, IH: H6) ; 7,6 (dd, J = 3 et 8,5, IH: H4) ; 7,18 (d, J = 8,5, IH: H3) ; 6,98 (d, J = 3, IH: H6') ; 6,8 (dd, J = 3^t 8,5, IH: H4') ; 6,75 (d, J = 8,5, IH: H3') ; 3,8 (s, 3H: CO2CH3) ; 3,75 (s, 3H:
OCH3). L'ester méthylique de l'acide 2-méthoxy-5- (2,5-dihydroxybenzylidèneamino) benzoïque est réduit par l'hydrogène en présence de nickel dans les conditions de l'exemple 1. On obtient l'ester méthylique du 2-méthoxy-5-(2,5-dihydroxybenzyl- amino) benzoïque avec un rendement de 68 % dont les caractéristiques sont les suivantes : - point de fusion : 141-142°C
- spectre de résonance magnétique nucléaire du proton (diméthylsulfoxyde déplacements chimiques en ppm ; constantes de couplage J en Hz) : 8,7 (s, IH: OH) 8,5 (s, IH: OH) ; 6,88 (m, 2H: H6, H4) ; 6,65 (d, IH: H3) ; 6,55 (m, 2H: H6', H3')
6,38 (dd, IH: H4') ; 5,7 (s, IH: NH) ; 4,1 (s, 2H: CH2) ; 3,82 (s, 3H: CO2CH3) ; 3,65 (s, 3H: OCH3).
EXEMPLE 12
On condense 500 mg de l'ester méthylique de l'acide 4-aminosalicylique (2,46 mmoles ; 1 équivalent) avec 340 mg de 2,5-dihydroxybenzaldéhyde (2,46 mmoles ; 1 équivalent) en opérant dans le méthanol. Le mélange est agité 10 heures à 60°C. Après traitement comme dans l'exemple 1, on obtient après purification par flash chromatographie sur gel de silice en éluant au dichlorométhane, avec un rendement de 71 %, 500 mg de l'ester méthylique de l'acide 4-(2,5-dihydroxybenzy- lidèneamino)salicylique dont les caractéristiques sont les suivantes :
- point de fusion : 221-222°C
- spectre de résonance magnétique nucléaire du proton (diméthylsulfoxyde ; déplacements chimiques en ppm ; constantes de couplage J en Hz) : 11,65 (s large,
IH: OH) ; 9,1 (s large, IH: OH) ; 8,78 (s, IH: CH≈N) ; 7,8 (d, J = 8,5, IH: H6) ; 7,02 (d, J = 3, IH: H6') ; 6,88 (m, 2H: H3, H5) ; 6,85 (dd, J = 3 et 8,5, IH: H4') ; 6,75 (d, J = 8,5, IH: H3') ; 3,88 (s, 3H: OCH3).
L'ester méthylique de l'acide 4-(2,5-dihydroxybenzylidèneamino)salicylique est réduit par l'hydrogène en présence de nickel dans les conditions de l'exemple 1.
On obtient, avec un rendement de 83 % après purification par flash chromatographie sur gel de silice dans le dichlorométhane, l'ester méthylique de l'acide 4-(2,5- dihydro- benzylamino) salicylique dont les caractéristiques sont les suivantes :
- point de fusion : 189-190°C
- spectre de résonance magnétique nucléaire du proton (diméthylsulfoxyde ; déplacements chimiques en ppm ; constantes de couplage J en Hz) ; 10,78 (s, IH: OH) ; 8,8 (s, IH: OH) ; 7,4 (d, J = 8,5, IH: H6) ; 7,05 (t, J = 5, IH: NH) ; 6,6 (d, J =
8,5, IH: H3') ; 6,5 (d, J = 3, IH: H6') ; 6,4 (dd, J = 3 et 8,5, IH: H4') ; 6,15 (dd, J = 3 et 8,5, IH: H5) ; 5,9 (d, J = 3, IH: H3) ; 4,1 (d, J = 5, 2H: NCH2) ; 3,75 (s, 3H:
OCH3).
EXEMPLE 13
On condense 134 mg d'ester de benzyle de l'acide 5-aminosalicylique (0,55 mmole ; 1 équivalent) avec 76 mg de 2,5-dihydroxybenzaldéhyde (0,55 mmole ; 1 équivalent), en opérant dans le méthanol à 60°C pendant 2 heures. Après refroidissement à 0°C, on ajoute 69 mg de cyanoborohydrure de sodium (1,1 mmole;
2 équivalents), et on agite à 20°C pendant 18 heures. Le milieu rêactionnel, refroidi à 0°C, est hydrolyse par un mélange d'une solution aqueuse d'acide chlorhydrique N et d'une solution aqueuse saturée de chlorure de sodium, puis on extrait à l'acétate d'éthyle. Après purification par flash-chromatographie sxxr gel de silice, en éluant par un mélange dichlorométhane-acétate d'éthyle (96-4 en volumes), on obtient, avec un rendement de 38 %, 76 mg d'ester de benzyle de l'acide 5-(2,5-dihydroxybenzyl- amino)salicylique, dont les caractéristiques sont les suivantes :
- point de fusion : 124°C.
- spectre de résonance magnétique nucléaire du proton (chloroforme ; déplacements chimiques en ppm ; constantes de couplage J en Hz) :
10,30 (mf, IH: OH) ; de 7,25 à 7,50 (mt, 5H: aromatiques du benzyle) ; 7,38 (d, J =
3, IH: H6) ; 7,02 (dd, J = 9 et 3, IH: H4) ; 6,89 (d, J = 9, IH: H3) ; 6,75 (d, J = 8,5 ,
IH: H3') ; 6,65 (dd, J = 8,5 et 3, IH: H4') ; 6,61 (d, J = 3, IH: H6') ; 5,37 (s, 2H: COO-CH2-Ar) ; 4,29 (s, 2H: Ar-CH.2-NH-Ar).
EXEMPLE 14
On opère comme à l'exemple 13, par condensation de 3,16 g d'ester de 2-(l- adamantyl)éthyle de l'acide 5-amino salicylique (10 mmoles ; 1 équivalent) et de 1,38 g de 2,5-dihydroxybenzaldéhyde (10 mmoles ; 1 équivalent) dans le méthanol à 60°C pendant 3 heures, puis par réduction de l'imine par 1,26 g de cyanoborohydrure de sodium (20 mmoles ; 2 équivalents) à 20°C pendant 18 heures. Après purification par flash-chromatographie sur gel de silice, en éluant par un mélange cyclohexane- acétate d'éthyle (75-25 en volumes), on obtient, avec un rendement de 26 %, 1,15 g d'ester de 2-(l-adamantyl)éthyle de l'acide 5-(2,5-dihydroxybenzylamino)salicylique, dont les caractéristiques sont les suivantes : - point de fusion : 151°C.
- spectre de résonance magnétique nucléaire du proton (diméthylsulfoxyde ; déplacements chimiques en ppm ; constantes de couplage J en Hz) :
9,30 (s, IH: OH) ; 8,75 (s, IH: OH) ; 8,55 (s, IH: OH) ; 6,93 (d, J = 3,5, IH: H6) ;
6,88 (dd, J = 9 et 3,5, IH: H4) ; 6,75 (d, J = 9, IH: H3) ; 6,62 (d, J= 3, IH: H6') ; 6,60 (d, J = 8,5, IH: H3') ; 6,33 (dd, J = 8,5 et 3, IH: H4') ; 5,82 (t, J = 6,5, IH: NH) ; 4,35 (t, J = 6,5, 2H: O-CH2-) ; 4,05 (d, J = 6,5, 2H: Ar-CH2-NH-Ar) ; 1,92 (mt,
2H: -CH2-adamantane) ; de 1,45 à 1,70 (mt, 15H: -CH2- et -CH- de l'adamantane).
EXEMPLE 15
On opère comme à l'exemple 13, par condensation de 1,15 g d'ester de phényle de l'acide 5-aminosalicylique (5 mmoles ; 1 équivalent) et de 0,69 g de 2,5- dihydroxybenzaldëhyde (5 mmoles ; 1 équivalent) dans le méthanol à 60°C pendant 3 heures, puis par réduction de rimine par 0,63 g de cyanoborohydrure de sodium (10 mmoles ; 2 équivalents) à 20°C pendant 18 heures. Après purification par flash- chromatographie sur gel de silice, en éluant par un mélange dichlorométhane-acétate d'éthyle (95-5 en volumes), on obtient, avec un rendement de 18 %, 0,32 g d'ester de phényle de l'acide 5-(2,5-dihydroxybenzylamino)salicylique, dont les caractéristiques sont les suivantes :
- point de fusion : 132°C.
- spectre de résonance magnétique nucléaire du proton (diméthylsulfoxyde ; déplacements chimiques en ppm ; constantes de couplage J enHz) :
9,52 (s, IH: OH) ; 8,78 (s, IH: OH) ; 8,58 (s, IH: OH) ; 7,48 (t, J = 8,5, 2H: H3" et H5") ; 7,32 (t, J = 8,5, IH: H4") ; 7,27 (d, J = 8,5, 2H; H2" et H6") ; 7,14 (d, J = 3,
IH: H6) ; 6,93 (dd, J = 9 et 3, IH: H4) ; 6,82 (d, J = 9, IH: H3) ; 6,65 (d, J = 3, IH:
H6') ; 6,60 (d, J = 8,5, IH: H3') ; 6,43 [dd, J = 8,5 et 3, IH: H4') ; 5,90 (t, J = 6, IH: NH) ; 4,12 (d, J = 6, 2H: CH2).
EXEMPLE 16
On condense 1,12 g d'ester de 1-naphtyle de l'acide 5-aminosalicylique (4 mmoles ; 1 équivalent) et 0,55 g de 2,5-d ydroxybenzaldéhyde (4 mmoles ; 1 équivalent) dans le toluène à 110°C pendant 2 heures 30. Après refroidissement à 0°C, on essore 1,51 g d'ester de 1-naphtyle de l'acide 5-(2,5-d ydroxybenzylidène- arnîno)saIi(tyIique, qui est réduit, sans purification, dans du dichlorométhane en présence de palladium sur charbon à 5 % sous une pression d'hydrogène de 1 atmosphère. Après purification par flash-chromatographie sur gel de silice, en éluant par un mélange dichlorométhane-acétate d'éthyle (98-2 en volumes), on obtient, avec un rendement de 45 %, 0,73 g d'ester de 1-naphtyle de l'acide 5-(2,5-dihydroxy- benzyIamino)salicylique, dont les caractéristiques sont les suivantes : -point de fusion : 145°C.
-spectre de résonance magnétique nucléaire du proton (diméthylsulfoxyde ; déplacements chimiques en ppm ; constantes découplage J enHz) :
9.54 (s, IH: OH) ; 8,76 (s, IH: OH) ; 8,60 (s, IH: OH) ; de 7,45 à 8,10 (mt, 7H: H du naphtyle) ; 7,34 (d, J= 3,5, IH: H6) ; 7,03 (dd, J= 9 et 3,5, IH: H4) ; 6,90 (d, J= 9,
IH: H3) ; 6,72 (d, J= 3, IH: H6') ; 6,64 (d, J= 8,5, IH: H3*) ; 6,47 [dd, J= 8,5 et 3, IH: H4') ; 6,00 (t, J= 6,5, IH: NH) ; 4,20 (d, J= 6,5, 2H: CH2).
EXEMPLE 17
On opère comme à l'exemple 16, par condensation de 1,53 g d'ester de 4- (phényl)phényle de l'acide 5-aminosalicylique (5 mmoles ; 1 équivalent) et 0,69 g de 2,5-dihydroxybenzaldéhyde (5 mmoles ; 1 équivalent) dans le toluène à 110°C pendant 2 heures, puis par réduction de l'imine brute obtenue dans du dichloro- méthane en présence de palladium sur charbon à 5 % sous une pression d'hydrogène de 1 atmosphère. Après purification par flash-chromatographie sur gel de silice, en éluant par un mélange cyclohexane-acétate d'éthyle (70-30 en volumes), on obtient, avec un rendement de 79 %, 1,70 g d'ester de 4-(phényl)phényle de l'acide 5-(2,5- dihydroxybenzylamino)salicylique, dont les caractéristiques sont les suivantes : - point de fusion : 190°C
- spectre de résonance magnétique nucléaire du proton (diméthylsulfoxyde ; déplacements chimiques en ppm ; constantes de couplage J en Hz) :
9.55 (s, IH: OH) ; 8,82 (s, IH: OH) ; 8,62 (s, IH: OH) ; 7,43 à 7,77 (mf , 9H: H du 4-
(phényDphényle) ; 7,20 (d, J = 3,5, IH: H6) ; 6,98 (dd, J = 9 et 3,5, IH: H4) ; 6,84 (d, J = 9, IH: H3) ; 6,70 (d, J = 3, IH: H6') ; 6,63 (d, J = 8,5, IH: H3') ; 6,45 [dd, J = 8,5 et 3. IH: H4') ; 5,92 (t, J = 6,5, IH: NH) ; 4,13 (d, J = 6,5, 2H: CH2).
EXEMPLE 18
On condense 424 mg de N-(l-méthoxycarbonyle-2-(4-hydroxyphényl) êthylamide de l'acide 5-aminosaIicylique (1,28 mmole ; 1 équivalent) avec 177 mg de 2,5-dihydroxybenzaldéhyde (1,28 mmole ; léquivalent) en opérant dans le méthanol. Le mélange rêactionnel est agité pendant 15 heures à 60°C. Après traitement comme dans l'exemple 1 et purification par flash chromatographie sur gel de silice en éluant avec un mélange acétate d'éthyle-hexane (1-1 en volumes), on obtient, avec un rendement de 92,3 %, 534 mg de N-(l-méthoxycarbonyle-2-(4-hydroxyphényl) êthylamide de l'acide 5-(2,5-dihydroxybenzylidène)aminosalicylique dont les caracté¬ ristiques sont les suivantes : - point de fusion : 220-222°C
- spectre de résonance magnétique nucléaire du proton (diméthylsulfoxyde ; déplacements chimiques en ppm ; constantes de couplage J enHz) :
12,25 (s, IH: OH) ; 11,98 (s, IH: OH) ; 9,18 (s, IH: CONH) ; 9,02 (s, 2H: OH) ; 8,8
(s, IH: CH≈N) ; 7,92 (d, J = 3, IH: H6); 7,52 (dd, J = 3 et 8,5, IH: H4) ; 6,95 (m, 4H: H6', H3, H2", H6") ; 6,8 (dd, J = 3 et 8,5, IH: H4') ; 6,75 (d, J = 8,5, IH: H3') ; 6,62 (d, J = 8,5, 2H: H3", H5") ; 4,16 (m, IH: CH) ; 3,6 (s, 3H: CH3) ; 3,0 (m, 2H:
CH2).
Le N-(l-méthoxycarbonyle-2-(4-hydroxyphényl)éthylamide de l'acide 5-(2,5- dihydroxybenzylidène)aminosalicylique est réduit par l'hydrogène en présence de nickel dans les conditions décrites dans l'exemple 1. Après traitement comme dans l'exemple 1 et purification par flash chromatographie sur gel de silice en éluant avec un mélange dichlorométhane-méthanol (9-1 en volumes), on obtient, avec un rendement de 84,5 %, le N-(l-méthoxycarbonyle-2-(4-hydroxyphényl)éthylamide de l'acide 5-(2,5-dmydroxyben-tyl)arninosaIicylique dont les caractéristiques sont les suivantes :
- point de fusion : 199-201°C
- spectre de résonance magnétique nucléaire du proton (diméthylsxilfoxyde ; déplacements chimiques en ppm ; constantes de couplage J en Hz) :
10,65 (s,IH: OH) ; 9,2 (s, IH: OH) ; 8,84 (d, J = 6, IH: CONH) ; 8,72 (s, IH: OH) ; 8,5 (s, IH: OH) ; 7,02 (d, J = 3, IH: H6) ; 6,95 (d, J = 8,5, 2H: H2H, H6H) ; 6,6 (m,
4H: H4, H3, H3H, H5") ; 6β (d, J = 3, IH: H6') ; 6,55 (d, J = 8,5, IH: H3') ; 6,38 (dd,
J = 3 et 8,5, IH: H4') ; 5,5 (t, J = 6, IH: NH) ; 4,6 (m, IH: CH) ; 4,02 (d, J = 6, 2H: CH2-NH) ; 3,6 (s, 3H: OCH3) ; 2,98 (m, 2H: CH2-CH).
EXEMPLE 19
On opère comme à l'exemple 13, par condensation de 1,35 g d'ester de (E)-
3-phényl-2-propèn-l-yle de l'acide 5-aminosalicylique (5 mmoles ; 1 équivalent) et 0,69 g de 2,5-dihydroxybenzaIdéhyde (5 mmoles ; 1 équivalent) dans le toluène à 110°C pendant 4 heures, puis par réduction de l'imine brute par 0,63 g de cyanoborohydrure de sodium (10 mmoles ; 2 équivalents) dans le toluène à 20°C pendant 40 heures. Après purification par flash-chromatographie sur gel de silice, en éluant par un mélange dichlorométhane-acétate d'éthyle (90-10 en volumes), on obtient, avec un rendement de 35 %, 0,69 g d'ester de (E)-3-phényl-2-propèn-l-yle de l'acide 5-(2,5-dihydro-tybenzyIanτino)saIicylique, dont les caractéristiques sont les sxήvantes :
- point de fusion : 135°C.
- spectre de résonance magnétique nucléaire du proton (diméthylsulfoxyde ; déplacements chimiques en ppm ; constantes de couplage J en Hz) :
9,85 (s, IH: OH) ; 8,80 (s, IH: OH) ; 8,60 (s, IH: OH) ; 7,35 à 7,55 (mt, 5H: H aromatiques du 3-phényl-ρropènyle) ; 7,08 (d, J = 3,5, IH: H6) ; 6,88 (dd, J = 9 et
3,5, IH: H4) ; 6,82 (d, J = 16, IH: ≈CH-Ar) ; 6,80 (d, J = 9, IH: H3) ; 6,67 (d, J = 3,5, IH: H6') ; 6,65 (d, J = 8,5, IH: H3') ; 6,54 (dt, J = 16 et 6,5, IH: -CH2-CH=) ;
6,47 (dd, J = 8,5 et 3,5, IH: H4') ; 5,90 (t, J = 5, IH: NH) ; 5,02 (d, J = 6,5, 2H: -O- CH2-) ; 4,12 (d, J = 5, 2H: -CH2-NH-).
EXEMPLE 20
On opère comme à l'exemple 16, par condensation de 1,40 g d'ester de 2- naphtyle de l'acide 5-aminosalicylique (5 mmoles ; 1 équivalent) et 0,69 g de 2,5- dihydroxybenzaldéhyde (5 mmoles ; 1 équivalent) dans le toluène à 110°C pendant 3 heures, puis par réduction de l'imine brute obtenue dans de l'acétate d'éthyle en présence de palladium sur charbon à 5 % soxis une pression d'hydrogène de 1 atmosphère. Après purification par flash-chromatographie sur gel de silice, en éluant par un mélange cyclohexane-acétate d'éthyle (70-30 en volumes), on obtient, avec un rendement de 47 %, 0,94 g d'ester de 2-naphtyle de l'acide 5-(2,5-dihydroxybenzyl- amino)salicylique, dont les caractéristiques sont les suivantes : - point de fusion : 179°C
- spectre de résonance magnétique nucléaire du proton (diméthylsulf oxyde ; déplacements chimiques en ppm ; constantes de couplage J en Hz) :
9,55 (s, IH: OH) ; 8,82 (s, IH: OH) ; 8,62 (s, IH: OH) ; de 7,47 à 8,05 (mt, 7H: H du naphtyle) ; 7,22 (d, J = 3,5, IH: H6) ; 6,96 (dd, J= 9 et 3,5, IH: H4) ; 6,85 (d, J = 9, IH: H3) ; 6,67 (d, J = 3, IH: H6') ; 6,62 [d, J = 8,5, IH: H3') ; 6,45 (dd, J ≈ 8,5 et 3, IH: H4') ; 6,62 (t, J = 6,5, IH: NH ) ; 4,17 (d, J = 6,5, 2H: CH2).
EXEMPLE 21
On opère comme à l'exemple 13, par condensation de 0,53 g d'ester de méthyle de l'acide 5-amino-2-fluorobenzoïque (2,9 mmoles ; 1 équivalent) et 0,39 g de 2,5-dihydroxybenzaldéhyde (2,9 mmoles ; 1 équivalent) dans le méthanol à 60°C pendant 4 heures, puis par réduction de l'imine brute par 0,36 g de cyanoborohydrure de sodium (5,8 mmoles ; 2 équivalents) dans le méthanol à 20°C pendant 18 heures. Après purification par flash-chromatographie sur gel de silice, en éluant par un
mélange dichlorométhane-acétate d'éthyle (90-10 en volumes), l'huile obtenue est dissoute dans 3 cm3 d'xine solution IN d'acide chlorhydrique dans l'isopropanol, et le chlorhydrate, ainsi formé, est précipité par addition de 15 cm3 d'éther isopropylique, essoré et séché soxis pression rédxiite. On obtient, avec un rendement de 25 %, 0,24 g de chlorhydrate de l'ester de méthyle de l'acide 5-(2,5-dihydroxybenzylamino)-2- fluorobenzoïque, dont les caractéristiques sont les suivantes :
- point de fusion : 172°C
-spectre de résonance magnétique nucléaire du proton (climémylsulfbxyde ; déplacements chimiques en ppm ; constantes de couplage J en Hz) : 7,22 (mf, IH: H6) ; 7,17 (t, J = 9, IH: H3) ; 6,98 (mt, IH: H4) ; 6,68 (d, J = 8,5, IH:
H3') ; 6,66 (d, J = 3,5, IH: H6') ; 6,50 (dd, J = 8,5 et 3,5, IH: H4') ^4,17 (s, 2H: CH2) 3,81 (s, 3H: CH3).
EXEMPLE 22
On condense 2 g de N-(benzyl)-5-amino-2-chlorobenzamide (7,67 mmoles; 1 équivalent) avec 1,06 g (7,67 mmoles ; 1 équivalent) de 2,5-dihydroxybenzal- déhyde, en opérant au reflux du méthanol pendant 15 heures. Après refroidissement, le précipité est séparé par filtration, lavé par du méthanol puis séché. On obtient, avec un rendement de 69 %, 2,2 g de N-(benzyl)-2-cMorc 5-(2,5-dihydroxybenzylidène- amino)benzamide dont les caractéristiques sont les suivantes : - point de fusion : 238°C
- spectre de résonance magnétique nucléaire du proton (diméthylsulfoxyde ; déplacements chimiques en ppm ; constantes de couplage J en Hz) : 11,9 (mf, IH: OH) ; 9,18 (mf, IH: OH) ; 9,10 (t, J = 7, IH: CONH-) ; 8,92 (s, IH CH≈N-) ; 7,60 (d, J = 9, IH: H3) ; 7,52 (d, J = 3, IH: H6) ; 7,50 (dd, J = 9 et 3, IH: H4) ; de 7,25 à 7,50 (mt, 5H: H aromatiques du N-benzyl) ; 7,07 (d, J = 3,5, IH
H6') ; 6,90 (dd, J = 8,5 et 3,5, IH: H4') ; 6,82 (d, J = 8,5, IH: H3') ; 4,48 (d, J = 7, 2H: CH2).
A une suspension de 2 g (5,25 mmoles ; 1 équivalent) de N-(benzyl)-2- cMoro-5-(2,5-d ydroxybeιιzyUdèneamino)benzamide dans du méthanol sont ajoutés 99,5 mg (2,63 mmoles ; 1 équivalent) de borohydrure de sodium à 10°C. Le mélange rêactionnel est agité pendant 1 heure à 20°C, puis concentré. Le résidu est repris par de l'acétate d'éthyle et lavé avec de l'eau distillée. Après séchage, le filtrat est concentré à sec sous pression réduite. Une recristallisation, dans un mélange d'isopropanol et d'éther isopropylique, conduit, avec xin rendement de 65 %, à 1,3 g
de N-(benzyl)-2-cWoro-5-(2,5-d ydiOxybenzylamino)benzamide, dont les caracté¬ ristiques sont les suivantes :
- point de fusion : 176°C
- spectre de résonance magnétique nucléaire du proton (diméthylsulfoxyde ; déplacements chimiques en ppm ; constantes de couplage J en Hz) :
8,82 (t, J = 7, IH: CONH-) ; 8,80 (mf, IH: OH) ; 8,60 (mf , IH: OH) ; de 7,15 à 7,40 (mt, 5H: H aromatiques du N-benzyl) ; 7,10 (d, J = 9, IH: H3) ; de 6,50 à 6,7 (mt, 3H: H6, H3\ H6') ; 6,52 (dd, J = 9 et 3, IH: H4) ; 6,42 (dd, J = 8,5 et 3,5, IH: H4') ; 6,40 (t, J = 6,5, IH: NH-Ar) ; 4,40 (d, J = 7, 2H: CONH-CH.2) : 4.10 (d, J ≈ 6,5, 2H: Ar-CH.2-NH).
EXEMPLE 23
8 g (0,029 mole) de N-(benzyl)-5-nitrosalicylamide et 6,6 g de réactif de Lawesson sont portés au reflux du toluène pendant 24 heures. Après refroidissement et concentration à sec sous pression réduite, le résidu est purifié par flash- chromatographie sur gel de silice, en éluant par un mélange cyclohexane-acétate d'éthyle (90-10 en volumes). On obtient ainsi, avec un rendement de 39 %, 3,3 g de N-(benzyl)-5-nitrothiosalicylamide, dont les caractéristiques sont les suivantes :
- point de fusion : 132°C
- spectre de résonance magnétique nucléaire du proton (diméthylsulfoxyde ; déplacements chimiques en ppm ; constantes de couplage J en Hz) :
12,14 (mf, IH: OH) ; 8,28 (d, J = 3, IH: H6) ; 8,23 (dd, J = 8 et 3, IH: H4) ; 8,02
(mf, IH: NH) ; 7,42 (mt, H aromatiques du N-benzyl) ; 7,13 (d, J = 8, IH: H3) ; 4,97 (d, J = 6, 2H: CH2).
On agite 1,5 g (5,21 mmoles) de N-(benzyl)-5-nitrothiosalicylamide dans du méthanol avec du nickel de Raney, à 50 % dans l'eau, sous pression d'hydrogène de 1 atmosphère jusqu'à ce que la réaction soit complète. Après filtration et lavage avec du méthanol, le filtrat est concentré à sec sous pression réduite. On obtient ainsi, avec un rendement de 97 %, 1,3 g de N-(benzyl)-5-aminothiosalicylamide, dont les caracté¬ ristiques sont les suivantes : - point de fusion : 63°C
- spectre de résonance magnétique nucléaire du proton (diméthylsulfoxyde ; déplacements chimiques en ppm ; constantes de couplage J en Hz) :
de 8,00 à 8,80 (mf, CSNH) ; de 7,00 à 7,30 (mt, 5H: H aromatiques du N-benzyl) ;
6,80 (d, J = 9, IH: H3) ; 6,60 (dd, J = 9 et 3, IH: H4) ; 6,57 (d, J = 3, IH: H6) ; 4,80 (s, 2H: CH2) ; de 3,00 à 3,80 (mf, 2H: NH2) .
On opère comme à l'exemple 22, par condensation de 790 mg (3,06 mmoles; 1 équivalent) de N-(benzyl)-5-aminothiosalicylamide avec 422 mg (3,06 mmoles ; 1 équivalent) de 2,5-dihydro.tybenzaldéhyde, en opérant au reflux du méthanol pendant 8 heures. Après refroidissement, le précipité est séparé par filtration, lavé par du méthanol puis séché. On obtient ainsi, avec xin rendement de 60 %, 700 mg de N- (benzyl)-5-(2,5-dmydroxybeιιzyKdèneammo) thiosalicylarnide. A xine suspension de 258 mg (0,682 mmol; 1 équivalent) de N-(benzyl)-5-
(2,5-dmydro-tybenzyKdèneam o)-tMosaKcylamide, brut, dans du méthanol, sont ajoutés 13 mg (0,341 mmole ; 1 équivalent) de borohydrure de sodium à 10°C. Après 30 minutes d'agitation, le mélange rêactionnel est concentré, puis le résidu est purifié par flash-chromatographie sur gel de silice en éluant par x mélange cyclohexane- acétate d'éthyle (70-30 en volxunes). On obtient ainsi, avec xm rendement de 42 %, 110 mg de N-(benzyl)-5-(2,5-d ydroxybenzylammo)lMosalicylamide, dont les caractéristiques sont les suivantes : - point de fusion : 150°C - spectre de résonance magnétique nucléaire du proton (diméthylsulfoxyde ; déplacements chimiques en ppm ; constantes de couplage J en Hz) :
10,75 (mf, IH: OH) ; 8,80 (mf, IH: OH): ; 8,60 (mf, IH: OH) ; de 7,25 à 7,50 (mt,
6H: H aromatiques du N-benzyl et CSNH) ; 7,18 (d, J = 3, IH: H6) ; 6,70 (d, J = 9,
IH: H3) ; 6,68 (d, J = 3, IH: H6') ; 6,65 (d, J = 8,5, IH: H3') ; 6,60 (dd, J = 9 et 3,
IH: H4) ; 6,46 (dd, J = 8,5 et 3, IH: H4') ; 5,65 (t J = 6,5, IH: NH-Ar) ; 4,98 (s, 2H: CSNH-CH.2-Ar) ; 4,10 (d, J = 6,5, 2H: Ar-CH2-NH-Ar).
EXEMPLE 24
Une solution de 3,5 g de 2,5-dihydroxybenzaldéhyde (25,3 mmoles ; 1 éqxiivalent) et 5 g de 3-aminobenzophénone (25,3 mmoles ; 1 équivalent) dans 100 cm3 de toluène est chauffée sous agitation magnétique durant 2 heures à reflux dans x appareillage équipé d'un piège Dean-Stark. Le précipité formé est filtré et lavé avec du toluène pour donner, avec un rendement de 88,3 %, 7,1g de 3-(2,5- dihydroxyben2ytidèneamino)benzophénone, sous forme d'un solide jaune fondant à 178°C, qui est rédxiit sans purification. Ainsi, une solution de 2 g de 3- (2,5- dihydroxybenzylidèneamino)benzophénone (6,31 mmoles ; 1 équivalent) dans du
méthanol (22 cm3) est agitée en présence de palladium sur charbon à 10 % et soxis xme pression d'hydrogène de 1 atmosphère jusqu'à la consommation de 1 équivalent (141 cm3) d'hydrogène. Après filtration et lavage avec du méthanol, le filtrat est concentré à sec sous pression réduite. Le résidu est chromatographie sur gel de silice avec un mélange dichlorométhane-acétate d'éthyle (9-1 en volumes), pour donner, avec xm rendement de 40 %, 0,8g de 3-(2,5-dmydroxybenzylamino)benzophénone dont les caractéristiques sont les suivantes :
- point de fusion : 107-109°C
- spectre de résonance magnétique nucléaire du proton (diméthylsulfoxyde ; déplacements chimiques en ppm ; constantes de couplage J en Hz) :
8,75 (s, IH: OH) ; 8,60 (s, IH: OH) ; de 6,40 à 6,70 (mt, 9H: H2, H4, H5, H6, H2", H3", H4", H5", H6") ; 6,54 (d, J = 3, IH: H6') ; 6,53 (d, J = 8,5, IH: H3') ; 6,43 (dd, J = 8,5 et 3, IH: H4') ; 6,40 (t, J = 6,5, IH: -NH-Ar) ; 4,15 (d, J = 6,5, 2H: Ar-CH2-NH-Ar).
EXEMPLE 25
Une solution de 0,4 g de 2,5-dihydroxybenzaldéhyde (2,8 mmoles ; 1 équivalent) et 0,6 g de benzoate de 4-aminophényle (2,8 mmoles ; 1 équivalent) dans du toluène (60 cm3) est chauffée sous agitation magnétique durant 2 heures à reflux dans xm appareillage équipé d'un piège Dean-Stark. Le précipité formé est filtré pour donner avec un rendement de 77 %, 0,7g de benzoate de 4-(2,5-dihydroxybenzyli- dèneamino)phényle, sous forme d'un solide rouge fondant à 191°C, qui est réduit sans autre purification. __
Une solution de 0,35 g de benzoate de 4-(2,5-dihydroxybenzylidèneamino) phényle (1 mmole ; 1 équivalent) dans du méthanol (30 cm3) est agitée en présence de palladium sur charbon à 5 % et sous une pression d'hydrogène de 1 atmosphère, jusqu'à la consommation de 1 équivalent (20 cm3) d'hydrogène. Après filtration et lavage de l'insoluble avec du méthanol, le filtrat est concentré à sec sous pression réduite. Le résidu est cristallisé dans xm mélange acétate d'éthyle-hexane (1-1 en volumes) pour donner avec un rendement de 57 %, 0,2g de benzoate de 4- (2,5- dihydroxybenzylamino)phényle sous forme d'un solide ocre dont les caractéristiques sont les suivantes :
- point de fusion : 179-181°C
- spectre de résonance magnétique nucléaire du proton (diméthylsulfoxyde ; déplacements chimiques en ppm ; constantes de couplage J en Hz) :
8,78 (s, IH: OH) ; 8,60 (s, IH: OH) ; 7,60-8,10 (mt, 5H: H2", H3", H4", H5", H6") ; 6,95 (d, J = 8,5, 2H: H2, H6) ; 6,50-6,70 [mt, 4H: H3, H5, H3', H6')) ; 6,44 (dd, J = 8,5 et 3, IH: H4') ; 6,13 (t, J = 5,5, IH: NH), 4,12 (d, J = 5,5, 2H: OfeN).
EXEMPLE 26
Une solution de 1,05 g de 2,5-dihydroxybenzaldéhyde (7,61 mmoles ; 1 équivalent) et 1,9 g de 3,5,5-triméthylhexanoate de 4-aminophényle (7,61 mmoles ; 1 équivalent) dans du toluène (100 cm3) est chauffée sous agitation magnétique durant 2 heures à reflux dans x appareillage équipé d'un piège Dean-Stark. Le solvant est évaporé soxis pression réduite et le résidu est trituré par du cyclohexane chaud. Le précipité formé est filtré pour donner, avec x rendement de 59 %, 2,5 g de 3,5,5- triméthylhexanoate de 4-(2,5-dihydroxybenzylidèneamino)phényle, sous forme d'xin solide jaune fondant à 131-133°C, qui est réduit sans autre purification. Une solution de 2 g de 3,5,5-triméthylhexanoate de 4-(2,5-dihydroxybenzy- lidèneamino)phényIe (5,4 mmoles ; 1 équivalent) dans du méthanol (20 cm3) est agitée en présence de palladium sur charbon à 5 % sous xme pression d'hydrogène de 1 atmosphère jxisqu'à la consommation de 1 éqxύvalent (122 cm3) d'hydrogène. Après filtration et lavage avec du méthanol, le filtrat est concentré à sec sous pression réduite. Le résidu est lavé successivement par de l'éther diéthylique, de l'hexane, et du cyclohexane froid, pour donner, avec x rendement de 50 %, 1 g de 3,5,5-triméthylhexanoate de 4-(2,5-dihydroxybenzyIamino)phényle sous forme d'un solide blanc dont les caractéristiques sont les suivantes :
- point de fusion : 114-I16°C - spectre de résonance "magnétique nucléaire du proton (diméthylsulfoxyde ; déplacements chimiques en ppm ; constantes de couplage J en Hz) : 8,80 (s, IH: OH) ; 8,60 (s, IH: OH) ; 6,76 (d, J = 9, 2H: H2 et H6) ; 6,64 (d, J = 3, IH: H6') ; 6,63 (d, J = 8,5, IH: H3') ; 6,53 (d, J ≈ 9, 2H: H3 et H5) ; 6,45 (dd, J = 8,5 et 3, IH: H4') ; 6,10 (t, J = 6,5, IH: -NH-Ar) ; 4,12 (d, J = 6,5, 2H: Ar-CH2-NH-Ar); 2,30 et 2,48 (2dd, J = 16 et 8, IH chacun: -CH2-COO-) ; 2,03 [mt, IH: -CH(CH3)-];
1,32 (dd, J = 15 et 4,5, IH: CH2-CH) ; 1,15 (dd, J = 15 et 6, IH: CH2-CΗ) ; 1,03 (d, J = 7,5, 3H: CH3) ; 0,93 [s, 9H: -CfCH^ .
EXEMPLE 27
Une solution de 1,72 g de 2,5-dihydroxybenzaldéhyde (12,5 mmoles ; 1 équivalent) et 3 g de 5-amino 2-chlorobenzophénone (12,4 mmoles ; 1 éqxdvalent) dans du toluène (75 cm3) est chauffée sous agitation magnétique pendant 4 heures à reflux dans un appareillage équipé d'un piège Dean-Stark. Après refroidissement à une température voisine de 20°C, le solvant est évaporé, et le résidu est dissous dans xm minimum d'acétate d'éthyle chaud puis la solution est filtrée. En refroidissant le produit cristallise. Après filtration, 3,5 g de 5-(2,5-dmydroxybenzylidèneamino)-2- chlorobenzophénone sont obtenus, avec un rendement de 75 %, sous forme d'un solide rouge fondant à 148-150°C, qxύ est rédxiit sans autre purification.
Une solution de 1,5 g de 5-(2,5-dmydroxybenzylidèneamino)-2-chloro benzophénone (4,3 mmoles ; 1 éqxdvalent) dans du méthanol (20 cm3) est agitée en présence de 0,75 g de palladium sur charbon à 10 % sous une pression d'hydrogène de 1 atmosphère jusqu'à la consommation de 1 équivalent (100 cm3) d'hydrogène. Après filtration et lavage avec du méthanol, le filtrat est concentré à sec soxis pression rédxdte. Le résidu est chromatographie sur gel de silice avec xm mélange dichlorométhane-acétate d'éthyle (9-1 en volumes) pour donner, avec un rendement de 66 %, lg de 5-(2,5-d ydro-tyber-zylamino)-2-chlorobenzophénone sous forme d'un solide jaune dont les caractéristiques sont les suivantes : - point de fusion : 148-150°C
- spectre de résonance magnétique nucléaire du proton (diméthylsulfoxyde ; déplacements chimiques en ppm ; constantes de couplage J en Hz) :
8,02 (mf , 2H: OH) ; 7,65 (d, J = 8, 2H: H2" et H6") ; 7,42 (t, J = 8, IH: H4") ; 7,30
(t, J = 8, 2H: H3" et H5") ; 7,00 (d, J = 9, IH: H3) ; de 6,50 à 6,7 (mt, 4H: H4, H6, H3', H6') ; 6,42 [dd, J = 8,5 et 3,5, IH: H4') ; 4,85 (mf, IH: -NH-Ar) ; 4,10 (s, 2H: Ar-CH2-NH-Ar).
EXEMPLE 28
A la solution agitée de 1,1 g d'alcool benzylique (10 mmoles ; 1 équivalent) dans 50 cm3 de tétrahydrofiiranne, sous argon, on ajoute 0,75 g d'hydrure de sodium
(50 % dans l'huile ; 15 mmoles ; 1,5 équivalents), puis rapidement xme solution de 2,6 g de 2-chloro-5-nitrobenzophénone (9,9 mmoles ; 1 équivalent). La réaction est chauffée à 60°C pendant 30 minutes, puis, après refroidissement à xme température voisine de 20°C, le solvant est évaporé à moitié. Le résidu repris dans 200 cm3 de dichlorométhane et lavé successivement par de l'eau et une solution de chlorure de sodium. La phase organique est séchée sur sulfate de magnésium, filtrée, et évaporée à sec soxis pression réduite pour donner, avec un rendement de 100 %, 3,3 g de 5- nitro-2-benzyloxybenzophénone sous forme d'un solide orange qui est utilisé tel quel dans l'étape suivante. Une solution de 1 g du produit précédent (3 mmoles ; 1 équivalent) est agitée dans du méthanol (40 cm3) avec 1 g de palladium sur charbon à 5 % et sous une pression d'hydrogène de 1 atmosphère jusqu'à la consommation de 5 équivalents (330 cm3) d'hydrogène. Après filtration et lavage avec du méthanol, le filtrat est concentré à sec sous pression réduite. On obtient 1 g de (5-amino-2-hydroxyphényl) phénylméthanol qui est réduit sans autre purification.
A une suspension agitée de 0,64 g de (5-amino-2-hydroxyphényl) phénylméthanol (3 mmoles ; 1 équivalent) dans 20 cm3 de toluène, on ajoute 0,4 g de 2,5-dihydroxybenzaIdéhyde (2,9 mmoles ; 1 équivalent) puis 0,2 cm3 de méthanol. Après 1 heure 30 minutes, le précipité rouge brique qui s'est formé est filtré puis lavé avec du toluène pour donner, avec un rendement de 84 %, 0,85 g de [5-(2,5-d ydroxybenzyKdèneamino)-2-hydroxyphényl]phénylméthanol, fondant à 185-187°C, qui est réduit sans autre purification.
On agite fortement xme solution de 0,5 g de [5-(2,5-dihydroxybenzylidène- . amino)-2-hydroxyphényl]phénylméthanol (1,5 mmole ; 1 équivalent) dans du méthanol (10 cm3) en présence de 0,22 g de palladium sur charbon à 5 % et sous une pression d'hydrogène de 1 atmosphère, jusqu'à la consommation de 1 équivalent (33 cm3) d'hydrogène. Après filtration et lavage avec du méthanol, le filtrat est concentré à sec sous pression réduite. Le résidu est précipité dans l'acétate d'éthyle pour donner, avec x rendement de 85 %, 0,43 g de [5-(2,5-dihydroxybenzylamino)- 2-hydroxyphényl]phénylméthanol sous forme d'un solide marron dont les caractéris¬ tiques sont les suivantes : - point de fusion : 94-96°C
- spectre de résonance magnétique nucléaire du proton (diméthylsulfoxyde ; déplacements chimiques en ppm ; constantes de couplage J en Hz) :
8,40 (s, IH: OH) ; 7,10-7,40 (m, 5H: phényle) ; 6,30-6,80 (m, 6H: aro ) ; 5,90 (s, IH: CHO) ; 5,60 (s, IH: NH) ; 4,05 (m, 2H: CH2N).
EXEMPLE 29
A xme suspension agitée de 1,1 g de 4-aminophénol (10 mmoles ; 1 équivalent) dans 30 cm3 de toluène, on ajoute 1,3 g de 2,5-dihydroxybenzaldéhyde (9,8 mmoles ; 1 équivalent) puis 0,5 cm3 de méthanol. Après 1 heure 30 minutes, le précipité orange qui s'est formé est filtré pxiis lavé avec du toluène poxir donner, avec un rendement de 92 %, 2,1 g de 4-(2,5-d ydroxybeιιzylidèneamino)phénol , fondant à 182-184°C, qui est réduit sans autre purification. Une solution de 1 g de 4-(2,5-dihydroxybenzyUdèneamino)phénol (4,37 mmoles ; 1 équivalent) dans du méthanol (15 cm3) est agitée en présence de 0,45 g de palladium sur charbon à 5 % et sous une pression d'hydrogène de 1 atmosphère jusqu'à la consommation de 1 équivalent (100 cm3) d'hydrogène. Après filtration et lavage avec du méthanol, le filtrat est concentré à sec sous pression réduite. Le résidu est cristallisé dans un mélange acétate d'éthyle-éther isopropylique (1-1 en volumes) pour donner, avec un rendement de 92 %, 0,94 g de 4-(2,5-dihydroxy- benzylamino)phénol sous forme d'un solide beige dont les caractéristiques sont les suivantes : - point de fusion : 148-150°C - spectre de résonance magnétique nucléaire du proton (diméthylsulfoxyde ; déplacements chimiques en ppm ; constantes de couplage J en Hz) ;
8,70 (s, IH: OH) ; 8,50 (s, IH: OH) ; 8,35 (s, IH: OH) ; 6,40-6,70 (m, 7H: arom) ; 5,35 (s, IH: NH) ; 4,00 (s, 2H: CH2N).
EXEMPLE 30
A xme solution de 2 g de 2-benzyloxy-5-nitrobenzophénone (6,0 mmoles ; 1 équivalent) dans 100 cm3 d'éthanol et 0,58 g d'acide chlorhydrique concentré à 40°C, on ajoute 1 g de fer en poudre et on chauffe à reflux pendant 2 heures. Le mélange est ensuite filtré puis refroidi à une température voisine de 20°C et concentré sous pression réduite. Le résidu est chromatographie sur gel de silice avec un mélange dichlorométhane-acétate d'éthyle (9-1 en volumes) pour donner un solide qui est lavé avec de l'éther pour donner, avec un rendement de 52 %, 0,5 g de 5-amino-2-benzyloxybenzophénone qxii est engagé tel quel dans l'étape sxiivante.
Une solution de 0,45 g de 2,5-dihydroxybenzaldéhyde (3,3 mmoles ; 1 éqxdvalent) et 1 g de 5-amino-2-benzyloxybenzophénone (3,3 mmoles ; 1 équivalent) dans 50 cm3 de toluène est chauffée sous agitation magnétique pendant 4 heures à reflux dans un appareillage équipé d'un piège Dean-Stark. Après refroidissement à xme température voisine de 20°C, le solvant est évaporé et le résidu dissout dans un minimum d'acétate d'éthyle chaud. En ajoutant de l'hexane le produit cristallise. Après filtration, on obtient, avec un rendement de 98 %, 1,38 g de 5-(2,5-dihydroxy- ben-tyUdèneamino)-2-benzoyloxyphénone sous forme d'un solide rouge, fondant à 89-91°C, engagé tel quel dans l'étape suivante. Une solution de 0,7 g de 5-(2,5-d ydro-tyl»n2yUdèneamino)-2-benzoyl- oxyphénone (1,66 mmole ; 1 éqxdvalent) dans du méthanol (25 cm3) est agitée en présence de 0,35 g de palladixim sur charbon à 5 % et sous une pression d'hydrogène de 1 atmosphère jusqu'à la consommation de 2 équivalents (84 cm3) d'hydrogène. Après filtration et lavage avec du méthanol, le filtrat est concentré à sec sous pression rédxrite. Le résidu est chromatographie sur gel de silice avec un mélange dichlorométhane-acétate d'éthyle (1-9 en volumes) pour donner, avec un rendement de 30 %, 0,15g de 5-(2,5-d ydroxybenzylamino)-2-hydroxybenzophénone sous forme d'un solide orange dont les caractéristiques sont les suivantes : - point de fusion": 64-66°C -spectre de résonance magnétique nucléaire du proton (diméthylsulfoxyde ; déplacements iimiques en ppm ; constantes de couplage J en Hz) :
9,90 (s, IH: OH) ; 8,70 (s, IH: OH) ; 8,60 (s, IH: OH) ; 7,40-7,60 (m, 5H: phényle); 6,40-6,80 (m, 6H: arom) ; 5,80 (t, IH: NH) ; 4,00 (d, 2H: CH2N).
EXEMPLE 31
Une solution de 11 g d'acide 3,5,5-triméthylhexanoïque (70 mmoles ; 1 équivalent) et de 5 cm3 de chlorure de thionyle (70 mmoles ; 1 équivalent) dans 50 cm3 de toluène est chauffée à reflux et sous agitation pendant environ 1 heure. Après refroidissement, le mélange est évaporé à sec sous pression réduite, puis on ajoute 6,5 g de phénol (70 mmoles ; 1 équivalent) et on laisse sous agitation pendant 12 heures. Le mélange réactionnel est chromatographie sur gel de silice avec du dichlorométiiane pour donner 8,7 g de 3-5,5-triméthylhexanoate de phényle (58 %), utilisé tel quel dans l'étape suivante.
A 5,8 g de 3,5,5-trimêthylhexanoate de phényle (24,8 mmoles ; 1 équivalent) dans 20 cm3 de chlorobenzène et sous argon, on ajoute lentement sous
agitation 4,1 cm3 de tétrachlorure de titane (37,3 mmoles ; 1,5 équivalent). On chauffe à 140°C pendant 2 heures, puis on laisse refroidir jusqu'à 80°C. Le mélange noir est ensuite versé dans 100 cm3 d'acide chlorhydrique 4N et extrait par 300 cm3 de diéthyléther. La phase organique est lavée successivement avec 2 fois 50 cm3 d'acide chlorhydrique 4N, 2 fois 50 cm3 d'eau, 3 fois 50 cm3 d'une solution à 10 % de bicarbonate de sodium, 50 cm3 d'eau, 2 fois 20 cm3 d'une solution saturée de chlorure de sodium puis séchée sur sulfate de magnésium et évaporée sous pression rédxute. Le résidu est chromatographie sur gel de silice avec x mélange dichlorométhane-hexane (2-8 en volumes) pour donner 4,1 g de l-(2-hydroxy) phényl-3,5,5-triméthylhexan-l-one (70 %), utilisables tels quels dans l'étape suivante.
A la solution de 4,3 g de l-(2-hydroxy)phényl-3,5,5-triméthylhexan-l-one (18,4 mmoles ; 1 éqxdvalent) dans 50 cm3 d'acide trifluoroacétique on ajoute 3,9 g de nitrite de sodium (56,5 mmole ; 3,1 équivalents), et on laisse sous agitation pendant 2 heures. Le mélange est ensuite versé dans 50 cm3 d'eau et extrait par 200 cm3 de dichlorométhane. La phase organique est lavée avec 25 cm3 d'eau, puis séchée sur sulfate de magnésium, et évaporée à sec sous pression réduite. Le résidu est chromatographie sur gel de silice avec xm mélange de dichlorométhane et d'hexane (4-6 en volumes) poxir donner, avec un rendement de 45 %, 2,4 g de l-(5- nitro-2-hydrOxy)phényl-3,5,5-triméthylhexan-l-one qxii est rédxdt dans l'étape suivante.
Une solution de 2,3 g de l-(5-nitro-2-hydroxy)phényl-3,5,5-triméthylhexan- 1-one (8,24 mmoles ; 1 équivalent) dans du méthanol (50 cm3) est agitée avec 1,6 g de palladium sur charbon à 5 % et sous une pression d'hydrogène de 1 atmosphère, jusqu'à la consommation de 3 équivalents (600 cm3) d'hydrogène. Après filtration et lavage avec du méthanol, le filtrat est concentré à sec sous pression réduite. Le résidu est chromatographie sur gel de silice avec du dichlorométhane pour donner, avec un rendement de 65 %, 1,4 g de l-(5-amino-2-hydroxy)phényl-3,5,5- triméthylhexan-1-one. Un mélange de 0,8 g de 2,5-dihydroxybenzaldéhyde (5,8 mmoles ; 1 équivalent) et 1,3 g de l-(5-amino-2-hydroxy)phényl-3,5,5-triméthylhexan-l-one (5,2 mmoles ; 0,9 équivalent) avec 0,5 cm3 de toluène est chauffé à 110°C pendant 10 minutes. Le résidu est trituré avec de l'hexane. Le prodxiit qui précipite est filtré poxir donner, avec xm rendement de 74 %, 1,5 g de l-[5-(2,5-dihydroxybenzylidène-
amino)-2-hydroxy]phényl-3,5,5-triméthylhexan-l-one, sous forme d'un solide rouge fondant à 114-116°C, qui est rédxdt sans autre purification.
Une solution de 1 g de l-[5-(2,5-dihydroxybenzyUdèneamino)-2-hydroxy] phényl-3,5,5-triméthylhexan-l-one (2,7 mmoles ; 1 équivalent) dans du méthanol (10 cm3) est agitée en présence de 0,5 g de palladium sur charbon à 5 % et sous une pression d'hydrogène de 1 atmosphère jxisqu'à la consommation de 1 équivalent (100 cm3) d'hydrogène. Après filtration et lavage avec du méthanol, le filtrat est concentré à sec sous pression rédxrite. Le résidu est chromatographie sur gel de silice avec un mélange dichlorométhane-acétate d'éthyle (9-1 en volumes) pour donner, avec x rendement de 70 %, 0,7 g de l-[5-(2,5-dihydroxybenzylammo)-2-hydroxy] phényI-3,5,5-triméthylhexan-l-one sous forme d'une huile orange dont les caracté¬ ristiques sont les suivantes :
- spectre de résonance magnétique nucléaire du proton (diméthylsulfoxyde ; déplacements chimiques en ppm ; constantes de couplage J en Hz) : 7,32 (d, J = 2,5, IH: H6) ; 7,12 (dd, J = 9 et 2,5, IH: H4) ; 6,86 (d, J = 9, IH: H3) ; de 6,60 à 6,80 [mt, 3H: H3' H4', H6') ; 6,10 (t, J = 6,5, IH: -NH-Ar) ; 4,30 (s, 2H: Cïï2-NH-Ar) ; 2,72 (m, 2H: -CH2-COO-) ; 2,14 [mt, IH: -CH(CH3)-] ; 1,25 à 1,12
(2dd, J = 13,5 et 4,5, 2H: -CH2-) ; 0,97 (d, J = 7,5, 3H: -CH3) ; 0,87 [s, 9H:
C(CH3)3].
EXEMPLE 32
A xme solution de 5 g de l-(2-hydroxyphényl)-3-phénylpropan-l-one (22,1 mmoles ; 1 équivalent) dans 60 cm3 d'acide trifluoroacétique on ajoute 4,6 g de nitrite de sodium (66,7 mmoles ; 3 équivalents), et on laisse sous agitation pendant 3 heures. Le mélange est ensuite versé dans 75 cm3 d'eau et extrait deux fois avec 300 cm3 de dichlorométhane. La phase organique est lavée avec 50 cm3 d'eau, puis séchée sur sulfate de magnésium, et évaporée à sec sous pression réduite. Le résidu est chromatographie sur gel de silice avec x mélange dichlorométhane-hexane (5-5 en volumes) pour donner, avec xm rendement de 50 %, 3g de l-(5-nitro-2-hydroxy phényl)-3-phényIpropan-l-one utilisés tels quels dans l'étape suivante. Une solution de 1,5 g de l-(5-nitro-2-hydroxy-phényl)-3-phénylpropan-l- one (5,5 mmoles ; 1 équivalent) dans du méthanol (20 cm3) est agitée en présence de 0,6 g de palladium sxir charbon à 5 % et sous une pression d'hydrogène de 1 atmosphère jxisqu'à la consommation de 3 équivalents (400 cm3) d'hydrogène. Après
filtration et lavage avec du méthanol, le filtrat est concentré à sec sous pression réduite. Le résidu est chromatographie sur gel de silice avec x mélange dichlorométhane-acétate d'éthyle (9-1 en volximes) pour donner, avec un rendement de 92 %, 1,2 g de l-(5-amino-2-hydroxyphényl)-3-phénylpropan-l-one sous forme d'un solide jaune utilisé tel quel dans l'étape suivante.
Un mélange de 0,4 g de 2,5-dihydroxybenzaldéhyde (2,9 mmoles ; 1 équivalent) et de 0,8 g de l-(5-amino-2-hydroxyphényl)-3-phénylpropan-l-one (3,3 mmoles ; 1,1 équivalent) dans 0,5 cm3 de toluène est chauffé à 110°C pendant 5 minutes. Le mélange brut est trituré avec de l'hexane et le produit précipite. Après filtration, 1,2 g de l-[5-(2,5-d ydroxybenzylidèneamino)-2-hydroxyphényl]-3- phénylpropan-1-one sont obtenus, avec xm rendement de 100 %, soxis forme d'un solide rouge fondant à 152-154°C, qui est rédxdt sans autre pxirification.
Une solution de 1 g de l-[5-(2,5-dihydroxybenzyUdèneanιino)-2-hydroxy phényl]-3-phénylpropan-l-one (2,8 mmoles ; 1 éqxdvalent) dans du méthanol (30 cm3) est agitée avec 0,5 g de palladium sur charbon à 5 % et sous une pression d'hydrogène de 1 atmosphère jusqu'à la consommation de 1 équivalent (70 cm3) d'hydrogène. Après filtration et lavage avec du méthanol, le filtrat est concentré à sec sous pression réduite. Le résidu est cristallisé dans un mélange de 20 cm3 d'hexane et 5 cm3 de dichlorométhane pour donner, avec un rendement de 80 %, 0,8 g de l-[5- (2,5-dmydro-^benzylamino)-2-hydrOxyphényl]-3-phénylpropan-l-one sous forme d'un solide jaxine dont les caractéristiques sont les suivantes : - point de fusion : 88-90°C
- spectre de résonance magnétique nucléaire du proton (diméthylsulfoxyde ; déplacements chimiques en ppm ; constantes de couplage J en Hz) : 11,18 (s, IH: OH) ; 8,83 (s, IH: OH) ; 8,62 (s, IH: OH) ; 7,30 (mt, 5H: aromatiques)
; 6,47-7,05 (mt, 6H: aromatiques) ; 5,78 (t, J = 6, IH: NHAr) ; 4,15 (d, J = 6, 2H: CH2N) ; 2,93 et 3,32 (2t, J = 7, 2H chacun: CH2-CH2).
EXEMPLE 33
Une solution de 1,5 g de l-(5-nitro-2-hydrOxyphényl)-2-phényléthan-l-one (5,83 mmoles ; 1 éqxdvalent) dans du méthanol (40 cm3) est agitée en présence de 0,7 g de palladixim sur charbon à 5 % et sous une pression d'hydrogène de 1 atmosphère, jusqu'à la consommation de 3 équivalents (500 cm3) d'hydrogène. Après filtration et lavage avec du méthanol, le filtrat est concentré à sec sous pression réduite. Le résidu est chromatographie sur gel de silice avec xm mélange
dichlorométhane-acétate d'éthyle (95-5 en volximes) pour donner, avec x rendement de 66 %, 1 g de l-(5-amino-2-hydroxyphényl)-2-phényléthan-l-one utilisé tel quel dans l'étape sxdvante.
Un mélange de 0,6 g de 2,5-dihydroxybenzaldéhyde (4,32 mmoles ; 1 équivalent) et de 1 g de l-(5-amino-2-hydroxyphényl)-2-phényléthan-l-one (4,32 mmoles ; 1 équivalent) dans 0,2 cm3 de toluène est chauffé à 110°C pendant 10 minutes. Le résidu est trituré avec de l'hexane. Le prodtdt précipite. Après filtration, 0,7 g de l-[5-(2,5-d ydro-^benzyUdèneamino)-2-hydroxyphényl]-2-phényléthan-l- one sont obtenus, avec x rendement de 46 %, soxis forme d'un solide rouge fondant à 173-175°C, qui est rédxdt sans autre purification.
Une solution de 0,5 g de l-[5-(2,5-dihydroxyben2yUdèneamino)-2-hydroxy phényl]-2-phényléthan-l-one (1,44 mmole ; 1 éqxdvalent) dans du méthanol (20 cm3) est agitée en présence de 0,25 g de palladixim sur charbon à 5 % et sous une pression d'hydrogène de 1 atmosphère, jusqu'à la consommation de 1 éqxdvalent (40 cm3) d'hydrogène. Après filtration et lavage avec du méthanol, le filtrat est concentré à sec sous pression réduite. Le résidu est cristallisé dans l'hexane pour donner, avec x rendement de 80 %, 0,4 g de l-[5-(2,5-dihydroxybenzylamino)-2- hydroxyphényl]-2-phényléthan-l-one sous forme d'un solide jaxine dont les caractéristiques sont les suivantes : - point de fusion : 165-167°C
- spectre de résonance magnétique nucléaire du proton (diméthylsulfoxyde ; déplacements chimiques en ppm ; constantes de couplage J en Hz) ;
11,20 (s, IH: OH) ; 8,90 (s, IH: OH) ; 8,60 (s, IH: OH) ; 7,30 à 6,40 (m, 11H: arom) ; 5,80 (t, IH: NH) ; 4,25 (s, 2H: CH2CO) ; 4,10 (d, 2H: CH2N).
EXEMPLE 34
On condense 375 mg de l'ester cyclohexylméthylique de l'acide 5- aminosalicylique (1,51 mmole ; 1 éqxdvalent) avec 210 mg de 2,5-dihydroxybenzaI- déhyde (1,51 mmole ; 1 équivalent) en opérant dans le méthanol. Le mélange réactionnel est agité pendant 5 heures à températxire ambiante. Après traitement comme dans l'exemple 1 et pxirification par recristallisation dans le dichlorométhane, on obtient avec xm rendement de 100 %, 550 mg de l'ester cyclohexylméthylique de l'acide 5-(2,5-d ydroxybenzylidèneamino)salicylique dont les caractéristiques sont les suivantes : - point de fusion : 123-125°C
- spectre de résonance magnétique nucléaire du proton (diméthylsxdfoxyde-d6 ; déplacements chimiques en ppm ; constantes de couplage J en Hz) : 12,09 (s, IH, OH) ; 10,55 (s, IH, OH) ; 9,04 (s, IH, OH) ; 8,8 (s, IH, CH≈N) ; 7,7 (d, J = 3, IH: H6) ; 7,6 (dd, J = 3 et 8,5, IH: H4) ; 7,05 (d, J = 8,5, IH: H3) ; 7,0 (d, J = 3, IH: H6') ; 6,8 (dd, J = 3 et 8,5, IH: H4') ; 6,72 (d, J = 8,5, IH: H3') ; 4,14 (d, J = 8,5, 2H: CO2CH2) ; 1,8-0,9 (m, 11H: C6H ).
L'ester cyclohexylméthylique de l'acide 5-(2,5-dmydroxybenzylidèneamino) salicylique est réduit par l'hydrogène en présence de nickel dans les conditions décrites dans l'exemple 1. Après purification par recristallisation dans le méthanol, on obtient, avec un rendement de 64 %, l'ester cyclohexylméthylique de l'acide 5-[N-
(2,5-dihydroxybenzyl)amino]salicylique dont les caractéristiques sont les suivantes :
- point de fusion : 167°C
- spectre de résonance magnétique nucléaire du proton (diméthylsxdfoxyde-d6 ; déplacements chimiques en ppm ; constantes de couplage J en Hz) : 9,78 (s, IH, OH) ; 8,65 (s, IH, OH) ; 8,5 (s, IH, OH) ; 6,9 (d, J = 3, IH: H6) ; 6,81 (dd, IH, J = 3 et 8,5, IH: H4) ; 6,7 (d, J = 8,5, IH: H3) ; 6,57 (d, J = 3, IH: H6') ; 6,56 (dd, J = 3 et 8,5, IH: H3') ; 6,38 (d, J = 8,5, IH: H4') ; 5,85 (d, J = 6, IH: NH) ; 4,04 (d, 4H: OCH2, CH2N) ; 1,8-0,85 (m, 11H: C6H ).
EXEMPLE 35
On condense 400 mg de l'ester 4-isopropylbenzylique de l'acide 5-amino- salicylique (1,40 mmole ; 1 éqxdvalent) avec 190 mg de 2,5-dihydroxybenzaldéhyde (1,40 mmole ; 1 éqxdvalent) en opérant dans le méthanol. Le mélange réactionnel est agité pendant 15 hexires à xme température voisine de 20°C. Après traitement comme dans l'exemple 1 et purification par recristallisation dans l'éther de pétrole, on obtient, avec un rendement de 100 %, 570 mg de l'ester 4-isopropylbenzylique de l'acide 5-(2,5-dihydroxybenzylidèneamino)salicylique dont les caractéristiques sont les suivantes :
- point de fusion : 181-182°C
- spectre de résonance magnétique nucléaire du proton (diméthylsxdfoxyde-d6 ; déplacements chimiques en ppm ; constantes de couplage J en Hz) : 12,1 (s, IH: OH) ; 9,03 (br. s, IH: OH) ; 8,8 (s, IH, CH≈N) ; 7,7 (d, J = 3, IH: H6) ; 7,6 (dd, J = 3 et 8,5, IH: H4) ; 7,38 (d, J = 8,5, 2H: H2", H6") ; 7,22 (d, J = 8,5, 2H: H3", H5") ; 7,02 (d, J = 8,5, IH: H3) ; 6,9 (d, J = 3, IH: H6') ; 6,8 (dd, J = 3 et 8,5, IH: H4*) ;
6,73 (d, J = 8,5, IH: H3') ; 5,32 (s, 2H: CH2) ; 2,87 (m, IH: CH) ; 1,18 (d, J = 8,5, 6H: CH3).
L'ester 4-isopropylbenzylique de l'acide 5-(2,5-dihydroxybenzylidène- amino)salicylique est rédxdt par l'hydrogène en présence de nickel dans les conditions décrites dans l'exemple 1. Après purification par flash chromatographie sur gel de silice en éluant avec du dichlorométhane, puis du dichlorométhane- méthanol (50-1 en volumes) et recristallisation dans un mélange dichlorométhane- éther de pétrole, on obtient, avec un rendement de 78 %, l'ester 4-isopropyl- benzylique de l'acide 5-(2,5-d ydro-tybenzylamino)salicylique dont les caractéris- tiques sont les sxdvantes :
- point de fusion : 155-156°C
-spectre de résonance magnétique nucléaire du proton (dimé&ylsxdfoxyde-dό déplacements chimiques en ppm ; constantes de couplage J en Hz) : 9,7 (s, IH: OH)
8,72 (s, IH: OH) ; 8,5 (s, IH: OH) ; 7,3-7,2 (q, J = 8,5, 4H: H2", H3", H5", H6") 6,92 (d, J = 3, IH: H6) ; 6,8 (dd, J = 3 et 8,5, IH: H4) ; 6,7 (d, J = 8,5, IH: H3)
6,56 (d, J = 3, IH: H6') ; 6,55 (dd, J = 3 et 8,5, IH: H3') ; 6,38 (d, J = 8,5, IH: H4') 5,8 (t, J = 6. IH: NH) ; 5,25 (s, 2H: CH2) ; 4,02 (d, J = 6, 2H: CH2N) ; 2,85 (m, IH:
-CS(CH3)2 ; 1,18 (d, J = 8,5, 3H: CH3).
EXEMPLE 36 On condense 250 mg de l'ester 3,5-diméthylbenzylique de l'acide 5-amino- salicylique (1,84 mmole ; 1 éqxdvalent) avec 250 mg de 2,5-dihydroxy benzaldéhyde (1,84 mmole ; 1 éqxdvalent) en opérant dans le méthanol. Le mélange réactionnel est agité pendant 5 heures à une température voisine de 20°C. Après traitement comme dans l'exemple 1 et purification par recristallisation dans le méthanol, on obtient, avec un rendement de 90 %, 650 mg de l'ester 3,5-dimémylbenzylique de l'acide 5- (2,5-d ydroxybenzyKdèneamino)salicylique dont les caractéristiques sont les suivantes :
- point de fusion : 187-188°C
-spectre de résonance magnétique nucléaire du proton (diméthylsulfoxyde-d6 ; déplacements chimiques en ppm ; constantes de couplage J en Hz) : 12,1 (s, IH:
OH) ; 9,1 (s, IH: OH) ; 8,8 (s, IH: CH≈N) ; 7,7 (d, J = 3, IH: H6) ; 7,6 (dd, J = 3 et
8,5, IH: H4) , 7,1-6,9 (m, 5H: H2", H6", H3, H6', H4"), 6,8 (dd, J = 3 et 8,5, IH: H4') ; 6,72 (d, J = 8,5, IH: H3') ; 5,28 (s, 2H: CH2) ; 2,22 (s, 6H: CH3).
L'ester 3,5-diméthylbenzylique de l'acide 5-(2,5-dihydroxy benzylidène- amino)salicylique est rédxdt par l'hydrogène en présence de nickel dans les
conditions décrites dans l'exemple 1. Après purification par flash chromatographie sur gel de silice en éluant avec du dichlorométhane, puis du dichlorométhane- méthanol (50-1 en volumes) et recristallisation dans un mélange éther éthylique- éther de pétrole, on obtient, avec xm rendement de 44 %, l'ester 3,5-diméthylbenzylique de l'acide 5-(2,5-dihydroxybenzylamino)salicylique dont les caractéristiques sont les suivantes :
- point de fusion : 142-143°C
- spectre de résonance magnétique nucléaire du proton (diméthylsxdfoxyde-d6 ; déplacements chimiques en ppm ; constantes de couplage J en Hz) : 9,67 (s, IH: OH) ; 8,7 (s, IH: OH) ; 8,48 (s, IH: OH) ; 6,95 (m, 4H: H6', H2", H4", H6") ; 6,8
(dd, J = 3 et 8,5, IH: H4) ; 6,7 (d, J = 8,5, IH: H3) ; 6,56 (d, 5 = 3, IH H6') ; 6,55
(dd, J = 3 et 8,5, IH: H4') ; 6,38 (d, J = 8,5, IH: H3') ; 5,8 (t, J = 6, IH: NH) ; 5,22 ( s, 2H: OCH2) ; 4,03 (d, J = 6, 2H: CH2N) ; 2,28 (s, 6H: CH3).
EXEMPLE 37
On condense 500 mg de l'ester 3-phénylpropylique de l'acide 5-amino- salicylique (1,85 mmole ; 1 éqxdvalent) avec 255 mg de 2,5-dihydroxy benzaldéhyde (1,85 mmole ; 1 équivalent) en opérant dans le méthanol. Le mélange réactionnel est agité pendant 5 heures à une température voisine de 20°C. Après traitement comme dans l'exemple 1 et purification par recristallisation dans le méthanol, on obtient, avec xm rendement de 87 %, 625 mg de l'ester 3-phenylpropylique de l'acide 5- (2,5- dihydroxybenzylidèneamino)salicylique dont les caractéristiques sont les suivantes :
- point de fusion : 170°C
- spectre de résonance magnétique nucléaire du proton (diméthylsxdfoxyde-d6 ; déplacements chimiques en ppm ; constantes de couplage J en Hz) : 12,15 (s, IH: OH) ; 9,1 (s, IH: OH) ; 8,78 (s, IH: CH≈N) ; 7,28-7,08 (m, 5H: Ph) ; 7,61 (d, 5~≡3,
IH: H6) ; 7,6 (dd, J = 3 et 8,5, IH: H4) ; 7,0 (d, J = 8,5, IH: H3) ; 6,98 (d, J = 3, IH:
H6') ; 6,8 (dd, J = 3 et 8,5, IH: H4') ; 6,74 (d, J = 8,5, IH: H3') ; 4,26 (t, J = 8,5, 2H: CO2CH2) ; 2,7 (t, J = 8,5, 2H: CH2Ph) ; 2,02 (m, J = 8,5, 2H: CH2).
L'ester 3-phénylpropylique de l'acide 5-(2,5-dihydroxybenzylidèneamino) salicylique est réduit par l'hydrogène en présence de nickel dans les conditions décrites dans l'exemple 1 dans xm mélange méthanol-diméthylformamide. Après purification par flash chromatographie sur gel de silice en éluant avec du dichlorométhane, puis du dichloromémane-méthanol (50-1) et recristallisation dans x mélange acétate d'éthyle-éther de pétrole, on obtient, avec un rendement de 60 %,
l'ester 3-phénylpropylique de l'acide 5-(2,5-dihydroxybenzylammo) salicylique dont les caractéristiques sont les sxdvantes :
- point de fusion : 142°C
- spectre de résonance magnétique nucléaire du proton (diméthylsulfoxyde-d6 ; déplacements chimiques en ppm ; constantes de couplage J en Hz) : 9,78 (s, IH:
OH) ; 8,72 (s, IH: OH), 8,5 (s, IH: OH) ; 7,28-7,1 (m, 5H: Ph) ; 6,94 (d, J = 3, IH:
H6) ; 6,82 (dd, J = 3 et 8,5, IH: H4) ; 6,7 (d, J = 8,5, IH: H3) ; 6,58 (d, J = 3, IH:
H6') ; 6,55 (dd, J = 3 et 8,5, IH: H3') ; 6,35 (d, J = 8,5, IH: H4') ; 5,8 (t, J = 6, IH NH) ; 4,22 (t, J = 8,5, 2H: CO2CH2) ; 4,04 (d, J = 6, 2H: CH2N) ; 2,64 (t, J = 8,5, 2H: CH2Ph) ; 1,96 (m, J = 8,5, 2H: CH2). EXEMPLE 38
On condense 600 mg du N-phénylamide de l'acide 5-ammosaHcylique (2,63 mmoles ; 1 éqxdvalent) avec 363 mg de 2,5-d ydroxybenzaldéhyde (2,63 mmoles ; 1 équivalent) en opérant dans le toluène. Le mélange réactionnel est agité pendant 1 heure à reflxix. Après traitement comme dans l'exemple 1 et purification par recristal¬ lisation dans le méthanol, on obtient, avec un rendement de 91 %, 852 mg du N-phénylamide de l'acide 5-(2,5-d ydroxyben2yKdèneamino)sali<-ylique dont les caractéristiques sont les sxdvantes :
- point de fusion : 241-243°C -spectre de résonance magnétique nucléaire du proton (dimêthylsιιlfoxyde-d6 déplacements chimiques en ppm ; constantes de couplage J en Hz) : 12.3 (s, IH OH) ; 11.9 (s, IH: OH) ; 10.5 (s, IH: NH) ; 9.03 (s, IH: OH) ; 8.8 (s, IH: CH≈N) 7.99 (d, J = 3, IH: H6) ; 7.68 (d, J = 8,5, 2H: H2", H6") ; 7.52 (dd, J = 3 et 8,5, IH H4) ; 7.32 (t, J = 8,5, 2H: H3", H5") ; 7.1 (d, J = 8,5, IH: H4") ; 7.0 (d, J = 8,5, IH: H3) ; 6.98 (d, J = 3, IH: H6') ; 6.8 (dd, J = 3 et 8,5, IH: H4') ; 6.72 (d, J = 8,5, IH H3').
Le N-phénylamide de l'acide 5-(2,5-dihydro-^benzyHdèneamino)salicylique est rédxdt par l'hydrogène en présence de nickel dans les conditions décrites dans l'exemple 1 dans un mélange méthanol-diméthylformamide. Après purification par flash chromatographie sur gel de silice en éluant avec du dichlorométhane-méthanol (50-1 en volumes), puis du dichlorométhane-méthanol (20-1 en volumes) et recristal¬ lisation dans le dichlorométhane, on obtient, avec un rendement de 40 %, le N-phénylamide de l'acide 5-(2,5-dihydrOxybenzylamino)salicylique dont les caracté¬ ristiques sont les suivantes : - point de fusion : 196-198°C
- spectre de résonance magnétique nucléaire du proton (diméthylsulfoxyde-d6 ; déplacements chimiques en ppm ; constantes de couplage J en Hz) : 10,68 (s, IH:
OH) ; 10,32 (s, IH: CONH) ; 8,68 (s, IH: OH) ; 8,48 (s, IH: OH) ; 7,6 (d, J = 8,5,
2H: H2", H6") ; 7,3 (t, J = 8,5, 2H: H3", H5") ; 7,05 (m, 2H: H6, H4") ; 6,69 (m, 2H: H4, H3) ; 6,59 (d, J = 3, IH: H6') ; 6,55 (dd, J = 3 et 8,5, IH: H4') ; 6,38 (d, J = 8,5, IH: H3') ; 5,55 (d, J = 6, IH: NH) ; 4,05 (d, J = 6, 2H: CH2N).
EXEMPLE 39
On condense 375 mg de l'ester 2,4,4-triméthylpentylique de l'acide 3-aminobenzoïque (1,34 mmole ; 1 éqxdvalent) avec 185 mg de 2,5-dihydroxy- benzaldéhyde (1,34 mmole ; 1 éqxdvalent) en opérant dans le méthanol.- e mélange réactionnel est agité pendant 4 heures à une température voisine de 20°C. Après traitement comme dans l'exemple 1, on obtient, avec xm rendement de 97 %, 465 mg de l'ester 2,4,4-triméthylpentylique de l'acide 3-(2,5-dihydroxybenzylidèneamino) benzoïque dont les caractéristiques sont les sxdvantes : - point de fusion : cire
- spectre de résonance magnétique nucléaire du proton (diméthylsulfoxyde-d6 déplacements chimiques en ppm ; constantes de couplage J en Hz) : 11,85 (s, IH
OH) ; 9,10 (s, IH: OH) ; 8,85 (s, IH: CH≈N) ; 7,83 (m, 2H: H2, H6) ; 7,60 (m, 2H
H4, H5) ; 7,07 (d, J = 3, IH: H6') ; 6,85 (dd, J = 3 et 8,5, IH: H4') ; 6,78 (d, J = 8,5 IH: H3') ; 4,03 (m, 2H: OCH2) ; 1,94 (m, IH: CH) ; 1,20 (m, 2H: CH2) ; 0,98 (d,
J = 8,5, 3H: CH3) ; 0,90 [s, 9H, C(CH3)3].
L'ester 2,4,4-triméthylpentyle de l'acide 3-(2,5-dihydroxybenzylidène- amino)benzoïque est rédxdt par l'hydrogène en présence de nickel dans le méthanol, dans les conditions décrites dans l'exemple 1. Après purification par flash chromato- graphie sur gel de silice en éluant avec du dichlorométhane, puis du dichloro¬ méthane-méthanol (20-1 en volumes) et recristallisation dans xm mélange éther éthylique-éther de pétrole, on obtient, avec un rendement de 64 %, l'ester 2,4,4-triméthylpentylique de l'acide 3-(2,5-dihydroxybenzylamino)benzoïque dont les caractéristiques sont les sxdvantes : - point de fusion : 167-168°C
- spectre de résonance magnétique nucléaire du proton (diméthylsulfoxyde-d6 déplacements chimiques en ppm ; constantes de couplage J en Hz) : 8,70 (s, IH OH) ; 8,47 (s, IH: OH) ; 7,10 (m, 3H: H2, H5, H6) ; 6,73 (m, IH: H4)
6,57 (d, J = 8,5, IH: H3') ; 6,53 (d, J = 3, IH: H6') ; 6,39 (dd, J = 3 et 8,5, IH: H4') ; 6,35 (t, IH: NH) ; 4,10 (d, J = 6, 2H: CH2N) ; 3,95 (m, 2H: OCH2) ; 1,88 (m, 2H:
CH) ; 1,14 (m, 2H: CH2) ; 0,93 [d, 3H: CH3) ; 0,88 (s, 9H: C(CH3)3].
EXEMPLE 40
A xme solution d'acide 3-(2,5-dihydro-tybenzylamino)benzoïque (500 mg ;
1,93 mmoles ; 1 éqxdvalent) dans le méthanol on ajoute le chlorxire de thionyle en excès (10 équivalents). Le mélange réactionnel est agité pendant 15 heures-à reflux. Après évaporation du solvant le résidu est séparé entre acétate d'éthyle et eau. La phase organique est lavée successivement avec une solution d'acide chlorhydrique 0,5 N, de bicarbonate de sodium à 10 % et d'une solution saturée de -chlorure, de sodium, puis séchée sur sulfate de sodium, enfin évaporée sous pression rechute. Après purification par flash chromatographie sur gel de silice en éluant avec du dichlorométhane, puis du dichlorométhane-méthanol (20-1 en volumes) et recristallisation dans l'éther éthylique, on obtient, avec x rendement de 74 %, l'ester méthylique de l'acide 3-(2,5-dmydroxybenzylamino)benzoïque dont les caractéris¬ tiques sont les suivantes :
- point de fusion : 132-133°C
- spectre de résonance magnétique nucléaire du proton (dimé ylsulfoxyde-d6 ; déplacements chimiques en ppm ; constantes de couplage J en Hz) : 8,74 (s, IH: OH) ; 8,49 (s, IH: OH) ; 7,10 (m, 3H: H2, H5 et H6) ; 6,72 (m, IH, H4) ; 6,59 (d,
J = 3, IH: H6') ; 6,55 (d, J = 8,5, IH: H3') ; 6,36 (dd, J = 3 et 8,5, IH: H4') ; 6,34 (t, IH: NH) ; 4,10 (d, 2H: CH2) ; 3,72 (s, 3H: CH3).
EXEMPLE 41
On condense 1,5 g de l'ester 3-5,5-triméthylhexylique de l'acide 5-amino- salicylique (5,38 mmoles ; 1 équivalent.) avec 138 mg de 2,5-dihydroxybenzaldéhyde (5,38 mmoles ; 1 équivalent) en opérant dans le méthanol. Le mélange réactionnel est agité pendant 15 heures à 60°C. Après traitement comme dans l'exemple 1 et purification par flash chromatographie sur gel de silice en éluant avec un mélange acétate d'éthyle-hexane (1-3 en volumes), on obtient, avec un rendement de 99 %, 2,12 g de l'ester 3,5,5-triméthylhexylique de l'acide 5-(2,5-dihydroxybenzylidène) ammosalicylïque dont les caractéristiques sont les suivantes :
- point de fusion : 130-131°C
- spectre de résonance magnétique nucléaire du proton (diméthylsulfoxyde ; déplacements chimiques en ppm ; constantes de couplage J en Hz) :
12,1 (s,lH: OH) ; 9,1 (s, IH: OH) ; 8,78 (s, IH: CH=N) ; 7,68 (d, J = 3, IH: H6) ;
7,6 (dd, J = 3 et 8,5, IH: H4) ; 7,0 (d, J = 8,5, IH: H3) ; 6,95 (d, J = 3, IH: H6') ; 6,79 (dd, J = 3 et 8,5, IH: H4') ; 6,7 (d, J = 8,5, IH: H3') ; 4,3 (t, J = 8,5, 2H: CO2CH2); 1,65 (m, 3H: CH,CH2) ; 1,3-1,0 (m, 2H: CH2) ; 0,94 (d, J = 8,5, 3H:
CH3) ; 0,84 (s, 9H: tBu).
L'ester 3,5,5-triméthylhexylique de l'acide 5-(2,5-dihydroxybenzylidène) aminosalicylique est réduit par l'hydrogène en présence de nickel dans lé conditions décrites dans l'exemple 1. Après traitement comme dans l'exemple 1 et purification par flash chromatographie sur gel de silice en éluant avec un mélange acétate d'éthyle- hexane (1-3 en volumes), on obtient, avec un rendement de 76 %, l'ester 3,5,5- triméthylhexylique de l'acide 5-(2,5-dihydroxybenzyl)aminosalicylique, dont les caractéristiques sont les suivantes : - point de fusion : 103-104°C
- spectre de résonance magnétique nucléaire du proton (diméthylsulfoxyde ; déplacements chimiques en ppm ; constantes de couplage J en Hz) :
9,8 (s, IH: OH) ; 8,6 (s, IH: OH) ; 6,89 (d, J = 3, IH: H6) ; 6,82 (dd, J = 3 et 8,5,
IH: H4) ; 6,7 (d, J = 8,5, IH: H3) ; 6,57 (d, J = 3, IH: H6') ; 6,55 (d, J = 8,5, IH: H3') ; 6,38 (dd, IH, J = 3 et 8,5, IH: H4') ; 5,7 (t, J = 6, IH: NH) ; 4,25 (m, 2H CO2CH2) ; 4,0 (d, J = 6, 2H: CH2N) ; 1,6 (m, 3H: CH, CH2) ; 1,26-0,98 (m, 2H
CH2); 0,9 (d, J = 8, 3H: CH3) ; 0,8 (s, 9H: tBu).
EXEMPLE 42
On condense 440 mg du thioéther de 2-hydroxy-5-aminobenzyle et de 2,4,4- triméthylpentyle (1,65 mmole ; 1 équivalent.) avec 228 mg de 2,5-dihydroxyben- zaldéhyde (1,65 mmole ; 1 équivalent.) en opérant dans le méthanol. Le mélange réactionnel est agité pendant 4 heures à 60°C. Après traitement comme dans l'exemple 1 et purification par flash chromatographie sur gel de silice en éluant avec un mélange acétate d'éthyle-hexane (1-2 en volumes), on obtient, avec un rendement de 54 %, 346 mg du thioéther de 2-hydroxy-5-(2,5-dihydroxybenzylidène)aminobenzyle et de 2,4,4-triméthylpentyle, dont les caractéristiques sont les suivantes :
- point de fusion : 136-137°C
- spectre de résonance magnétique nucléaire du proton (diméthylsulfoxyde ; déplacements chimiques en ppm ; constantes de couplage J en Hz) :
12,5 (s, IH: OH) ; 9,1 (s, IH: OH) ; 8,7 (s, IH: CH=N) ; 7,25 (d, J = 3, IH: H6) ;
7,13 (dd, J = 3 et 8,5, IH: H4) ; 6,92 (d, J = 3, IH: H6') ; 6,8 (d, J = 8,5, IH: H3) ; 6,72 (dd, J = 3 et 8,5, IH: H4') ; 6,7 (d, J = 8,5, IH: H3') ; 3,62 (s, 2H: Ar-CH2S) ;
2,45-2,2 (m, 2H: S-CH2-CH) ; 1,6 (m, IH: CH) ; 1,32-0,95 (m, 2H: CH2) ; 0,92 (d, J = 8,5, 3H: CH3) ; 0,8 (s, 9H: tBu).
Le thioéther de 2-hydroxy-5-(2,5-dihydroxybeιιzyMène)aminobenzyle et de 2,4,4-triméthylpentyle, est réduit par le borohydrure de sodium sous azote à xme température voisine de 20°C. On ajoute de l'eau et de l'acide chlorhydrique IN jusqu'à pH = 7. Le solvant est évaporé sous pression réduite- Le mélange réactionnel est extrait par dichlorométhane, séché sur sulfate de sodium, puis filtré. Le solvant est évaporé sous pression réduite. Après purification par flash chromatographie sur gel de silice en éluant avec un mélange chlorofoπne-méthanol (10-1 en volumes), on obtient, avec x rendement de 60 %, le thioéther de 2-hydroxy-5-(2,5-dihydroxybenzyl) aminobenzyle et de 2,4,4-triméthylpentyle, dont les caractéristiques sont les suivantes :
- point de fusion : 83°-85,5°C
- spectre de résonance magnétique nucléaire du proton (diméthylsulfoxyde ; déplacements chimiques en ppm ; constantes de couplage J en Hz) : 8,68 (s, IH: OH) ; 8,48 (s, IH: OH) ; 8,4 (s, IH: OH) ; 6,6 (d, J = 3, IH: H6) ; 6,53 (d, J = 8,5, IH: H3) ; 6,48 (d, J = 8,5, IH: H3') ; 6,4 (d, J = 3, IH: H6') ; 6,35 (dd,
J = 3 et 8,5, IH: H4) ; 6,25 (dd, J = 3 et 8,5, IH: H4') ; 5,25 (t, J = 6, IH: NH) ; 3,98 (d, J = 6, 2H: CH2N) ; 3,48 (s, 2H: CH2S) ; 2,28 (m, 2H: SCH2) ; 1,62 (m,lH: CH) ; 1,32-0,98 (m, 2H: CH2) ; 0,9 (d, J = 8,5, 3H: CH3) ; 0,85 (s, 9H: tBu).
EXEMPLE 43 On condense 800 mg de l'éther de 2-hydroxy-5-aminobenzyle et de 2,4,4- triméthylpentyle (3,19 mmoles ; 1 équivalent.) avec 441 mg de 2,5-dihydroxybenzal- déhyde (3,19 mmoles ; 1 équivalent.) en opérant dans le méthanol- Le mélange réactionnel est agité pendant 15 heures à 60°C. Après traitement comme dans l'exemple 1 et purification par flash chromatographie sur gel de silice en éluant avec un mélange acétate d'éthyle-hexane (1-3 en volumes), on obtient, avec un rendement de 97 %, 1,15 g de l'éther de 2-hydroxy-5-(2,5-dihydroxybenzylidène) aminobenzyle et de2,4,4-triméthylpentyle, dont les caractéristiques sont les suivantes :
- point de fusion : 85,5-86,5°C
- spectre de résonance magnétique nucléaire du proton (diméthylsulfoxyde ; déplacements chimiques en ppm ; constantes de couplage J en Hz) :
12,55 (s, IH: OH) ; 9,15 (s, IH: OH) ; 8,72 (s, IH: CH=N) ; 7,28 (d, J ≈ 3, IH: H6)
7,18 (dd, J = 3 et 8,5, IH: H4) ; 6,9 (d, J ≈ 3, IH: H6') ; 6,82 (d, J = 8,5, IH: H3) 6,78 (dd, J = 3 et 8,5, IH: H4') ; 6,4 (d, J = 8,5, IH: H3') ; 4,42 (s, 2H: Ar-CH2O)
3,2 (m, OCH2-CH) ; 1,75 (m, IH: CH) ; 1,32-0,9 (m, 2H: CH2) ; 0,92 (d, J = 8,5, 3H: CH3) ; 0,85 (s, 9H: tBu).
L'éther de 2-hydroxy-5-(2,5-dihydroxybenzylidène) aminobenzyle et de 2,4,4-triméthylpentyle est réduit par le borohydrure de sodium dans les conditions décrites dans l'exemple 1. Après traitement comme dans l'exemple 1 et purification par flash chromatographie sur gel de silice en éluant avec un mélange acétate d'éthyle- hexane (1-2 en volumes), on obtient, avec un rendement de 58 %, l'éther de 2-hydroxy-5-(2,5-dihydroxybenzyl)aminobenzyle et de 2,4,4-triméthylpentyle dont les caractéristiques sont les suivantes :
- spectre de résonance magnétique nucléaire du proton (diméthylsulfoxyde ; déplacements chimiques en ppm ; constantes de couplage J en Hz) : 8,68 (s IH: OH) ; 8,48 (s,lH: OH) ; 6,58 (d, J = 3, IH: H6) ; 6,53 (d, J =8,5, IH:
H3) ; 6,5(d, J = 3, IH: H6') ; 6,48 (d, J = 8,5, IH: H3') ; 6,38 (dd, J = 3 et 8,5, IH:
H4) ; 6,26 (dd, J = 3 et 8,5, IH: H4') ; 5,3 (t, J = 6, IH: NH) ; 4,24 (s, 2H: Ar- CH2O) ; 3,98 (d, J = 6, 2H: CH2N) ; 3,2-3,02 (m, 2H: OCfi2-CH) ;1,68 (m, IH:
CH) ; 1,28-0,85 (m, 2H: CH2) ; 0,85 (d, J = 8,5, 3H: CH3) ; 0,8 (s, 9H: tBu).
EXEMPLE 44
On condense 268 mg de l'éther de 2-méthoxy-5-aminobenzyle et de 2,4,4- triméthylpentyle, (1,01 mmole ; 1 équivalent.) avec 140 mg de 2,5-dihydroxybenzaJ- déhyde (1,01 mmole ; 1 équivalent.) en opérant dans le méthanol. Le mélange réactionnel est agité pendant 10 heures à 60°C. Après traitement comme dans l'exemple 1 et purification par flash chromatographie sur gel de silice en éluant avec un mélange acétate d'éthyle-hexane (1-3 en volumes), on obtient, avec un rendement de 74 %, 286 mg de l'éther de 2-méthoxy-5-(2,5-dihydroxybenzylidène)aminobenzyle et de 2.4,4-triméthylpentyle, dont les caractéristiques sont les suivantes :
- spectre de résonance magnétique nucléaire du proton (diméthylsulfoxyde ; déplacements chimiques en ppm ; constantes de couplage J en Hz) :
12,4 (s, IH: OH) ; 9,0 (s,lH: OH) ; 8,76 (s, IH: CH=N) ; 7,31 (d, J = 3, IH: H6); 7,3
(dd, J = 3 et 8,5, IH: H4) ; 7,0 (d, J = 8,5, IH: H3) ; 6,92 (d, J = 3, IH: H6') ; 6,78 (dd, J = 3 et 8,5, IH: H4') ; 6,72 (d, J = 8,5, IH: H3') ; 4,45 (s, 2H: CH2O) ; 3,75
(s,3H: OCH3) ; 3,2 (m, 2H: OCH2) ; 1,75 (m, IH: CH) ; 1,32-0,9 (m, 2H: CH2) ; 0,9 (d, J = 8,5, 3H: CH3) ; 0,85 (s, 9H: tBu).
L'éther de 2-méthoxy-5-(2,5-d ydroxybenzyUdène)aminobenzyle et de 2,4,4-triméthyIpentyle est réduit par le borohydrure de sodium dans les conditions décrites dans l'exemple 1. Après traitement comme dans l'exemple 1 et purification par flash chromatographie sur gel de silice en éluant avec un mélange acétate d'éthyle- hexane (1-2 en volumes), on obtient, avec un rendement de 58 %, l'éther de 2-méthoxy-5-(2,5-dihydro-tybenzyl)aminobenzyle et de 2,4,4-triméthylpentyle, dont les caractéristiques sont les smvantes : - spectre de résonance magnétique nucléaire du proton (diméthylsulfoxyde ; déplacements chimiques en ppm ; constantes de couplage J en Hz) : 8,65 (s, IH: OH) ; 8,45 (s, IH: OH) ; 6,68 (d, J = 8,5, IH: H3) ; 6,58 (d, J = 3, IH:
H6) ; 6,56 (dd, J = 3 et 8,5, IH: H4) ; 6,54 (d, J = 3, IH: H6') ; 6,35 (d, J = 8,5, IH H3') ; 6,34 (dd, J = 3 et 8,5, IH: H4') ; 5,52 (t, J ≈ 6, IH: NH) ; 4,3 (s, 2H: CH2O) 4,0 (d, J = 6, 2H: CH2N) ; 3,6 (s, 3H: OCH3) ; 3,35-3,02 (m, 2H: OCH2) ; 1,68 (m,
IH: CH) ; 1,25-0,88 (m, 2H: CH2) ; 0,88 (d, J = 8,5, 3H: CH3) ; 0,84 (s, 9H: tBu).
EXEMPLE 45
On condense 564 mg de l'éther de 3-aminobenzyle et de 2,4,4- trîméthylpentyle (2,40 mmoles ; 1 équivalent) avec 331 mg de 2,5-dihydroxybenzal- déhyde (2,40 mmoles ; 1 équivalent) en opérant dans le méthanol- Le mélange réactionnel est agité pendant 15 heures à 60°C. Après traitement comme dans l'exemple 1 et purification par flash chromatographie sur gel de silice en éluant avec un mélange acétate d'éthyle-hexane (1-3 en volumes), on obtient, avec un rendement de 95 %, 808 mg de l'éther de 3-(2,5-dihydroxybenzylidène)aminobenzyle et de 2,4,4- triméthylpentyle, dont les caractéristiques sont les suivantes :
- point de fusion : 87°-89°C
- spectre de résonance magnétique nucléaire du proton (diméthylsiilfbxyde ; déplacements chimiques en ppm ; constantes de couplage J en Hz) :
12,18 (s, IH: OH) ; 9,08 (s, IH: OH) ; 8,8 (s, IH: CH≈N) ; 7,38 (t, J = 8,5, IH: H5) ; 7,25 (m, 3H: H6, H2, H4) ; 7,0 (d, J = 3, IH: H6') ; 6,85 (dd, J ≈ 3 et 8,5, IH: H4') ; 6,75 (d, J = 8,5, IH: H3') ; 4,45 (s, 2H: Ar-CH2O) ; 3,2 (m, 2H: OCH2-CH) ; 1,7 (m,
IH: CH) ; 1,28-0,9 (m, 2H: CH2) ; 0,9 (d, J ≈ 8,5, 3H: CH3) ; 0,85 (s, 9H: tBu).
L'éther de 3-(2,5-dihydroxybenzyIidène)aminobenzyle et de 2,4,4- triméthylpentyle est réduit par le borohydrure de sodium dans les conditions décrites
dans l'exemple 1. Après traitement comme dans l'exemple 1 et purification par flash chromatographie sur gel de silice en éluant avec un mélange acétate d'éthyle-hexane (1-2, en volume), on obtient, avec un rendement de 86,8 %, l'éther de 3-(2,5- dihydroxybenzyl)aminobenzyle et de 2,4,4-triméthylpentyle dont les caractéristiques sont les suivantes :
- spectre de résonance magnétique nucléaire du proton (diméthylsulfoxyde ; déplacements chimiques en ppm ; constantes de couplage J en Hz) :
8,68 (s, IH: OH) ; 8,46 (s, IH: OH) ; 6,95 (t, J=8,5, IH: H5) ; 6,58-6,3 (m, 6H: H6', H6, H4, , H4', H3') ; 5,95 (t, J = 6, IH: NH) ; 4,25 (s, 2H: Ar-CH2O) ; 4,05 (d, J = 6, 2H: CH2N) ; 3,18-2,98 (m, 2H: OCH2-CH) ;1,68 (m, IH: CH) ; 1,25-0,88 (m,
2H: CH2) ; 0,88 (d, J = 8,5, 3H: CH3) ; 0,8 (s, 9H: tBu).
EXEMPLE 46
On condense 960 mg de l'éther de 3-aminobenzyle et de benzyle (4,5 mmoles ; 1 équivalent) avec 622 mg de 2,5-dihydroxybenzaldéhyde (4.5 mmoles ; 1 équivalent) en opérant dans le méthanol. Le mélange réactionnel est agité pendant 15 heures à 60°C. Après traitement comme dans l'exemple 1 et purification par flash chromatographie sur gel de silice en éluant avec un mélange acétate d'éthyle-hexane (1-3 en volumes), on obtient, avec un rendement de 66 %, 984 mg de l'éther de 3-(2,5-dihydroxybenzylidène)aminobenzyle et de benzyle, dont les caractéristiques sont les suivantes :
- spectre de résonance magnétique nucléaire du proton (diméthylsulfoxyde ; déplacements chimiques en ppm ; constantes de couplage J en Hz) :
9,05 (s, IH: OH) ; 8,8 (s, IH: CH≈N) ; 7,4 (t, J = 8,5, IH: H5) ; 7,38-7.2 (m, 8H: Ph,
H6, H2, H4) ; 7,0 (d, J = 3, IH: H6') ; 6,82 (dd, J = 3 et 8,5, IH: H4') ; 6,75 (d, J = 8,5, IH: H3') r4,54 (s, 2H: CH2O) ; 4.52 (s, 2H: CH2Ph).
L'éther de 3-(2,5-dihydroxybenzylidène)aminobenzyle et de benzyle est réduit par le borohydrure de sodium dans les conditions décrites dans l'exemple 1. Après traitement comme dans l'exemple 1 et purification par flash chromatographie sur gel de silice en éluant avec un mélange dichlorométhane-méthanol (9-1 en volumes), on obtient, avec un rendement de 86 %, l'éther de 3-(2,5-dihydroxybenzyl) aminobenzyle et de benzyle, dont les caractéristiques sont les suivantes : - spectre de résonance magnétique nucléaire du proton (diméthylsulfoxyde ; déplacements chimiques en ppm ; constantes de couplage J en Hz) :
8,69 (s, IH: OH) ; 8,48 (s, IH: OH) ; 7.25 (m, 5H: Ph) ; 6,97 (t, J = 8,5, IH: H5) ;
6,6-6,5 (m, 3H: H6', H6, H4) ; 6-47 (m, 3H: H2, H4', H3') ; 6.0 (t, J = 6, IH: NH) ; 4,42 (s, 2H: CH2O) ; 4,34 (s, 2H: CH2Ph) ; 4,04 (d, J = 6, 2H: CH2N).
EXEMPLE 47
On condense 400 mg de N-(α-méthylbenzyl)amide de l'acide 5-amino- salicylique (1,56 mmole ; 1 équivalent) avec 216 mg de 2,5-dihydroxybenzaldéhyde (1,56 mmole ; léquivalent) en opérant dans le méthanol- Le mélange réactionnel est agité pendant 15 heures à 60°C. Après traitement comme dans l'exemple 1 et purification par flash-chromatographie sur gel de silice en éluant avec un mélange chloroforme-méthanol (9-1 en volumes), on obtient, avec un rendemen -de 76,6 %, 450 mg du N-(α-méthylbenzyl)amide de l'acide 5-(2,5-dihydroxybenzylidène)amino- salicylique dont les caractéristiques sont les suivantes : - point de fusion : 209°-211°C - spectre de résonance magnétique nucléaire du proton (diméthylsulfoxyde ; déplacements chimiques en ppm ; constantes de couplage J en Hz) :
12,6 (s, IH: OH) 12,32 (s, IH: OH) ; 9,2 (d, J = 6, IH: CONH) ; 9,02 (s, IH: OH);
8,8 (s, IH: CH≈N) ; 8,0 (d, J = 3, IH: H6) ; 7,5 (dd, J = 3 et 8,5, IH: H4) ; 7,4-7,15
(m, 5H: Ph) ; 6,95 (d, J = 3, IH: H6') ; 6,9 (d, J = 8,5, IH: H3) ; 6,8 (dd, J = 3 et 8,5, IH: H4') ; 6,75 (d, J = 8,5, IH: H3') ; 5,18 (m, IH: CH) ; 1,5 (d, J = 8,5, CH3). Le N-(α-méthylbenzyl)amide de l'acide 5-(2,5-dihydroxybenzylidène)amino salicylique est réduit par l'hydrogène en présence de nickel dans les conditions décrites dans l'exemple 1. Après traitemement comme dans l'exemple 1 et purification par flash chromatographie sur gel de silice en éluant avec un mélange chloroforme-méthanol (9-1 en volumes), on obtient, avec un rendement de 71,6 %, le N-(α-méthylbenzyl) amide de l'acide 5-(2,5-dihydroxybenzyl)aminosalicylique, dont les caractéristiques sont les suivantes : -point de fusion : 190-192°C
- spectre de résonance magnétique nucléaire du proton (diméthylsiilfbxyde ; déplacements chimiques en ppm ; constantes de couplage J enHz) : 11,2 (s, IH: OH) ; 8,88 (d, J = 6, IH: CONH) ; 8,7 (s, IH: OH) ; 8,5 (s, IH: OH) ;
7,36-7,15 (m, 5H: Ph) ; 7,1 (d, J = 3, IH: H6) ; 6,69 (dd, J = 3 et 8,5, IH: H4) ; 6,62
(d, J = 8,5, IH: H3) ; 6,6 (d, J= 3, IH: H6') ; 6,55 (d, J = 8,5, IH: H3') ; 6,38 (dd, J=
3 et 8,5, IH: H4«) ; 5,35 (t J = 6, 1H:NH) ; 5,12 (m, IH: CH) ; 4,08 (d, J = 6, 2H: CH2) ; 1,45 (d, J = 8,5, 3H: CH3).
L'activité inhibitrice des nouveaux produits selon l'invention vis-à-vis de la famille des récepteurs du type facteur de croissance épidermique (EGF) peut être mise en évidence en utilisant des membranes exprimant soit le récepteur EGF-R soit le récepteur HER-2 comme source de protéine tyrosine kinase et un tridécapeptide comme substrat accepteur de phosphorylation.
L'activité cellxdaire est déterminée en mesurant l'inhibition de la synthèse de l'ADN de ces cellxdes.
Les résidtats obtenus montrent que, in vitro, les prodxdts selon l'invention manifestent leur activité inhibitrice à des concentrations généralement inférieures à 10 μM et qxd peuvent être plus faibles que 0,1 μM et que, in vivo, l'inhibition de la croissance cellxdaire se manifeste à des concentrations pouvant être inférieures à l μM.
L'activité sxir la tyrosine kinase in vitro peut, par exemple, être déterminée selon xme technique inspirée de T. Onada et al., J. of Natxiral Products, 52, 1252- 1257 (1989). Le test est réalisé dans un volume final de 50 μl contenant Hepes (20 μM ; pH = 7,4), MgCl2 (1 mM), BSA (sérum albumine bovine ; 0,1 mg/ml),
EGF de souris (100 ng/ml), le tridécapeptide RRLIEDAEYAARG, la fraction membranaire de cellxdes ER22 (obtenues par transfection de fibroblastes de poximon de hamster chinois (CCL39) par de l'ADN complémentaire codant pour le récepteur EGF-R) et l μCi de γ32P[ATP] et des inhibiteurs à des concentrations micromolaires. Le récepteur (EGF-R) est d'abord incubé avec l'EGF pendant 30 minutes à 4°C pxds avec l'échantillon. La réaction est initiée par addition du peptide et du γ32p[ATP] pxds le milieu est incubé pendant 30 minutes à 4°C. La réaction est arrêtée par addition de 25 μl d'acide trichloroacétique (TCA) à 10 % et 10 μl de BSA à 20 mg/ml. Les protéines précipitées sont séparées par centrifugation et le surnageant (40 μl) est réparti sxir des papiers de phosphocellxdose Whatman P81 (2 cm2) qui sont immédiatement immergés dans l'acide acétique à 30 % pendant 30 minutes puis 3 fois 15 minutes dans l'acide acétique à 45 % et enfin séchées. La radioactivité est mesurée par scintillation liquide. L'activité in vivo peut être déterminée en effectuant la culture de cellxdes
ER22 sur un milieu Dulbecco modifié (DMEM) additionné de 10 % de sérum foetal de veau (FCS) contenant 200 μg/ml d'antibiotique G418, à 35°C dans une atmosphère contenant 5 % de gaz carbonique.
Les cellules sont réparties dans des puits à raison de 3,5 x 10-5 cellxdes par puits dans des plateaux à 24 puits. Les cellules sont cultivées dans xm milieu DMEM
supplémenté avec 10 % de FCS puis dans un milieu DMEM/HAMS'F12 (1/1) pendant 48 hexires.
Les cellxdes sont ensuite incubées pendant 1 heure avec différentes concentrations du prodxdt à étudier. Puis on ajoute des facteurs de croissance ou du sérum de veau fêtai et de la méthyl ^H-thymidine (0,1 mCi ml). L'incorporation de la thymidine tritiée dans la fraction insoluble dans l'acide trichloroacétique est déterminée par comptage en scintillation liqidde.
Les résxdtats sont rassemblés dans le tableau I.
TABLEAU I
Les nouveaux produits de formule générale (I) sont particxdièrement utiles en thérapeutique humaine ou vétérinaire comme inhibiteurs de la croissance et de la prolifération tumorales et dans la thérapie tumorale. Ils sont particulièrement utiles
dans le traitement des mélanomes, des carcinomes ovariens et mammaires ou des gliomes.
Les nouveaux prodxdts de f ormxde générale (I) sont également utiles dans le traitement des phénomènes liés aux troubles de la mémoire, de l'épilepsie, de l'attaque d'apoplexie, de la maladie d'Alzheimer ou de la maladie de Parkinson.
Les prodxdts de formxde générale (I) peuvent être aussi utiles dans le traitement et la prévention du SIDA.
Enfin, les prodxdts peuvent être utilisés dans le traitement de certaines formes d'allergie, du psoriasis lié à l'EGF, de l'athérosclérose, de la rétinose ou de la myélofibrose liés au PGDF.
D'un intérêt tout particulier sont les prodxdts de formxde générale (I) dans laquelle Ri représente un radical alcoyloxycarbonyle dont la partie alcoyle contient 1 à 10 atomes de carbone et est éventuellement substituée par xm radical phényle, xm radical aryloxycarbonyle, xm radical acyle éventuellement substitué par xm radical phényle, un radical arylcarbonyle, un radical carbamoyle dont l'atome d'azote est substitué par un radical alcoyle éventuellement substitué par un radical phényle et/ou alcoxycarbonyle et R2 représente x atome d'hydrogène ou d'halogène ou un radical hydroxy, alcoxy, alcoylcarbonyloxy, arylcarbonyloxy, mercapto, alcoylthio, amino, formylamino, alcoylcarbonylamino ou atylcarbonylamino. La présente invention concerne les compositions pharmaceutiques qui contiennent au moins xm prodxdt de formxde générale (I), éventuellement sous forme de sel, en association avec x ou plusieurs diluants ou adjuvants pharmaceutiquement acceptables inertes ou thérapeutiquement actifs.
Les sels d'addition pharmaceutiquement acceptables sont choisis parmi les sels avec les acides minéraux tels que les acides chlorhydrique, bromhydrique, nitrique, sxdfurique, phosphorique ou les acides organiques tels que les acides acétique, formique, propionique, maléique, malonique, fumarique, succinique, tartrique, citrique, oxalique, aspartique, mêthanesulfonique, éthanesulfonique, benzènesulf onique, p.toluènesxdfonique ou benzoïque éventuellement substitué. Les compositions selon l'invention peuvent être administrées par voie orale, parentérale, rectale ou topique.
Comme compositions solides pour adn inistration orale peuvent être utilisés des comprimés, des pilules, des poudres ou des granxdés. Dans ces compositions, les prodxdts de formxde générale (I) sont mélangés à un ou plusieurs diluants inertes tels que saccharose, lactose ou amidon. Ces compositions peuvent également comprendre
des substances autres que les diluants, par exemple un lubrifiant tel que le stéarate de magnésium.
Comme compositions liquides pour administration orale on peut utiliser des émulsions pharmaceutiquement acceptables, des solutions, des suspensions, des sirops et des élixirs contenant des diluants inertes tels que l'eau ou l'huile de paraffine. Ces compositions peuvent également comprendre des substances autres que les diluants, par exemple des produits mouillants, édxdcorants ou aromatisants.
Les compositions pour administration parentérale peuvent être des solutions stériles aqueuses ou non aqueuses, des suspensions ou des émulsions. Comme solvant ou véhicxde, on peut employer le propylèneglycol, le polyêthylèneglycol, les huiles végétales, en particxdier l'hxdle d'olive, et les esters organiques injectables par exemple l'oléate d'étiiyle. Ces compositions peuvent contenir des adjuvants, en particulier des agents moxdllants, émxdsifiants et dispersants. La stérilisation peut se faire de plusieurs façons, par exemple à l'aide d'un filtre bactériologique, en incorporant à la composition des agents stérilisants, par irradiation ou par chauffage. Elles peuvent être préparées sous forme de compositions solides stériles qxd peuvent être dissoutes au moment de l'emploi dans de l'eau stérile ou tout autre milieu stérile injectable.
Les compositions pour administration rectale sont des suppositoires qui peuvent contenir, outre le prodxdt actif, des excipients tels que le bextrre de cacao.
Les compositions pour application topique sont généralement des crèmes, des pommades ou des onguents. Elles peuvent également se présenter sous forme de poxdtices.
En thérapeutique humaine, les doses dépendent de l'effet recherché, de la dxirée du traitement, de la voie d'administration et des facteurs propres au sujet à traiter. Elles sont généralement comprises entre 10 et 500 mg par jour par voie parentérale pour un adulte.
L'exemple suivant illustre une composition selon l'invention.
EXEMPLE
On prépare selon la technique habituelle des ampoules contenant xme solution poxir administration intrapéritonéale constituée de :
- ester éthylique de l'acide 5-(2,5-dihydroxybenzylamino)
- salicylique 50 mg
- soluté injectable 5 cm3