constraint

If false, the edge is not used in ranking the nodes

type: bool, default: true

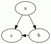
For example in the graph:

digraph G {
  a -> c;
  a -> b;
  b -> c [constraint=false];
}

the edge b -> c does not add a constraint during rank assignment, so the only constraints are that a be above b and c, yielding the graph:

Valid on:
  • Edges

Note: dot only.

Search the Graphviz codebase for "constraint"